Alabama Blank Printable Last Will And Testament Forms

Wyoming Last Will And Testament Template Download Printable PDF TemplaterollerAlabama Blank Printable Last Will And Testament Forms

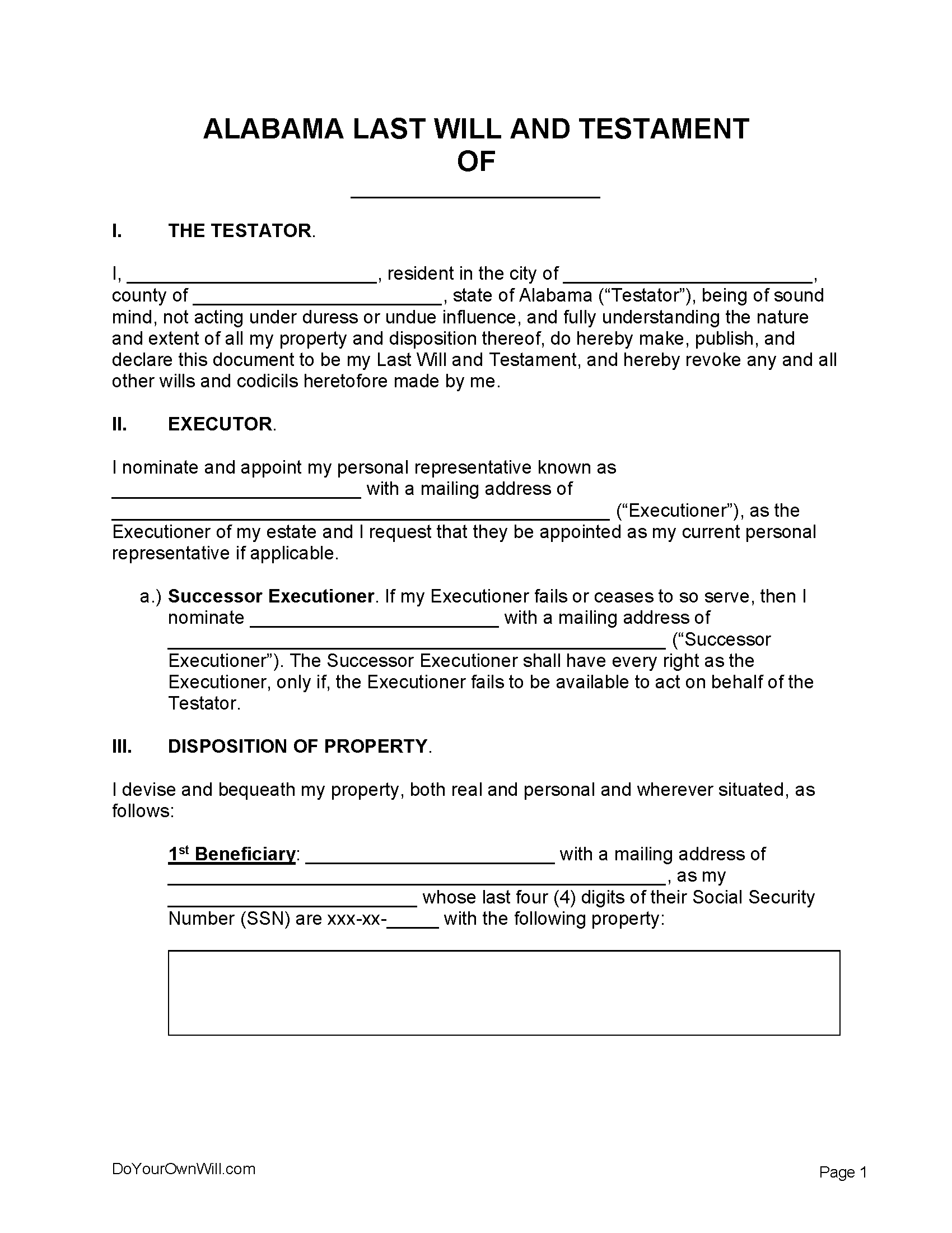
Creating a last will and testament is an important step in ensuring that your final wishes are carried out after your passing. In Alabama, having a properly executed will can provide peace of mind for both you and your loved ones. Luckily, there are blank printable forms available that can help you draft your will in a clear and concise manner.

These forms are designed to guide you through the process of outlining how you would like your assets to be distributed, who you would like to be the executor of your estate, and any specific instructions you may have for your funeral arrangements. By using these forms, you can ensure that your wishes are legally documented and easily accessible to your loved ones.

Alabama Blank Printable Last Will And Testament Forms

Searching for an easy way to organize forms? A printable forms is a reliable tool for both everyday and office use. Whether you’re handling job applications, health documents, invoices, or permission slips, printable form help save time with convenience.

A Alabama Blank Printable Last Will And Testament Forms allows you to fill out important information by hand or on a computer before printing. It’s ideal for workplaces, schools, and virtual setups where documentation needs to be organized, standardized, and immediately usable.

Quickly Access and Print Alabama Blank Printable Last Will And Testament Forms

You can instantly find complimentary, user-friendly templates online in formats like PNG no technical experience or software required. Just download, fill in, and use as many copies as needed.

Take control of your routine processes and avoid paperwork headaches. Choose a versatile free printable form today and stay organized, productive, and in charge—whether at your house or at work.

Page 2 Testament Templates In Word FREE Download TemplatePage 2 Testament Templates In Word FREE Download Template

Free Last Will And Testament Templates Forms Word PDFFree Last Will And Testament Templates Forms Word PDF

Alabama Last Will And Testament Templates Free Word PDF ODT Alabama Last Will And Testament Templates Free Word PDF ODT

Free Alabama Last Will And Testament Template PDF Word PDF WordFree Alabama Last Will And Testament Template PDF Word PDF Word

Free Alabama Last Will And Testament Form PDF WORD ODTFree Alabama Last Will And Testament Form PDF WORD ODT

It is important to carefully consider all aspects of your will before finalizing it. You may want to consult with a legal professional to ensure that your will meets all legal requirements in Alabama. Additionally, it is recommended to review and update your will periodically to reflect any changes in your circumstances or wishes.

By taking the time to complete a blank printable last will and testament form, you can provide clarity and direction for your loved ones during a difficult time. It can also help to minimize any potential conflicts or confusion that may arise regarding the distribution of your assets.

Remember, having a will is not just for the elderly or those with significant assets. Regardless of your age or financial situation, having a will in place can help to protect your loved ones and ensure that your final wishes are respected. So, take the time to consider your options and complete an Alabama blank printable last will and testament form today.

Don’t wait until it’s too late. Start planning for the future today by utilizing Alabama blank printable last will and testament forms to ensure that your wishes are carried out exactly as you desire.