Free Legal Printable North Carolina Last Will And Testament Forms

Free Printable Last Will And Testament Templates PDF Word Free Legal Printable North Carolina Last Will And Testament Forms

Planning for the future is important, and creating a last will and testament is a crucial part of that planning. In North Carolina, having a legally binding will ensures that your wishes are carried out and that your loved ones are taken care of after you pass away. Fortunately, there are free legal printable forms available to help you create your last will and testament without the need for expensive legal fees.

When it comes to creating your last will and testament in North Carolina, using a free legal printable form can make the process much easier. These forms are designed to be simple and straightforward, allowing you to clearly outline your wishes for your assets, property, and beneficiaries. By filling out one of these forms, you can ensure that your estate is distributed according to your wishes and that your loved ones are provided for.

Free Legal Printable North Carolina Last Will And Testament Forms

Need an easy way to manage paperwork? A printable form is a smart solution for both personal and professional use. Whether you’re handling job applications, health documents, invoices, or permission slips, Free Legal Printable North Carolina Last Will And Testament Forms help simplify tasks with ease.

A printable forms allows you to enter important information manually or digitally before printing. It’s perfect for offices, schools, and remote work where documentation needs to be clear, standardized, and immediately usable.

Save and Print Free Legal Printable North Carolina Last Will And Testament Forms

You can easily find complimentary, customizable templates online in formats like Jpeg no technical experience or software required. Just get, complete, and print as many copies as needed.

Begin streamlining your form-filling needs and avoid unnecessary delays. Choose a reliable printable forms today and stay on track, productive, and in control—whether at home or at work.

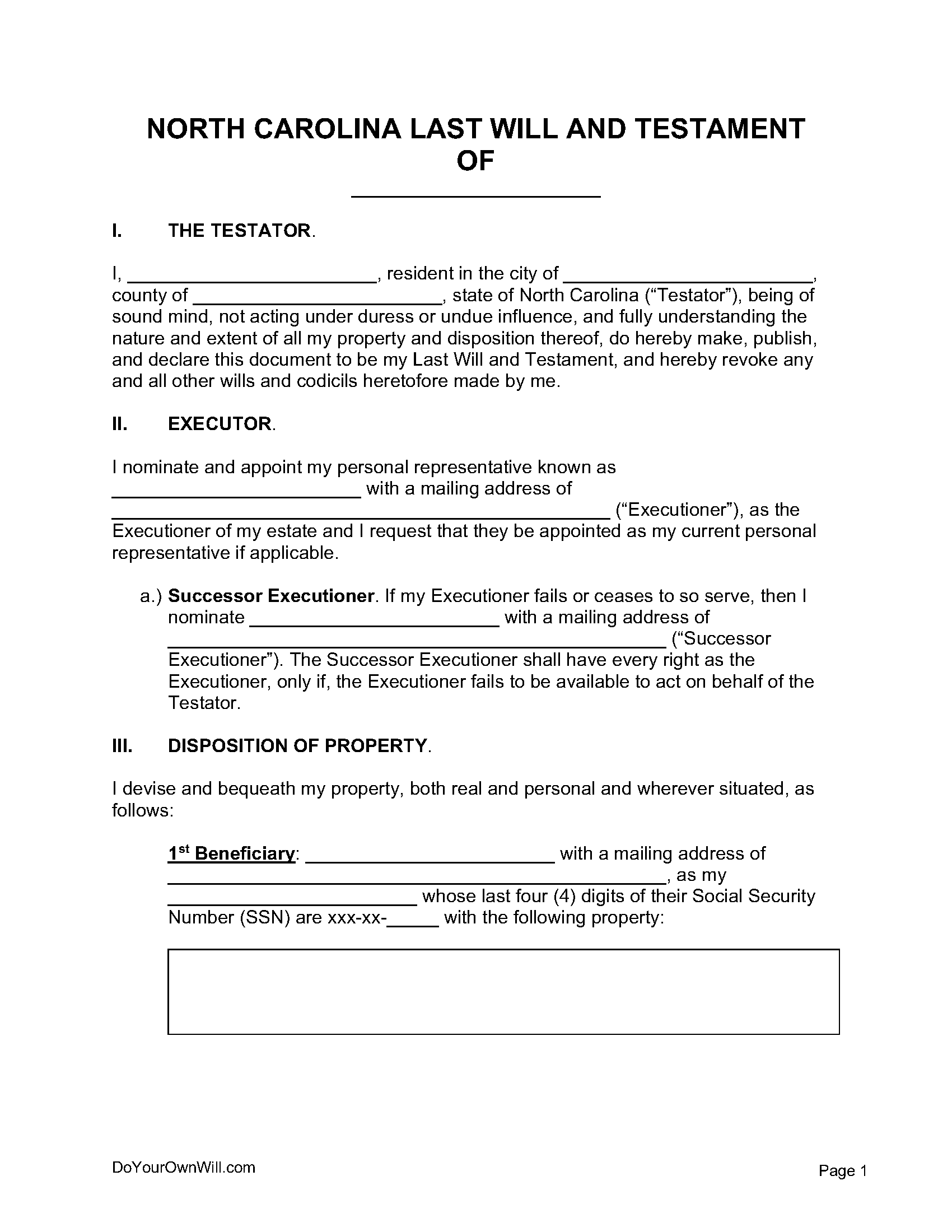
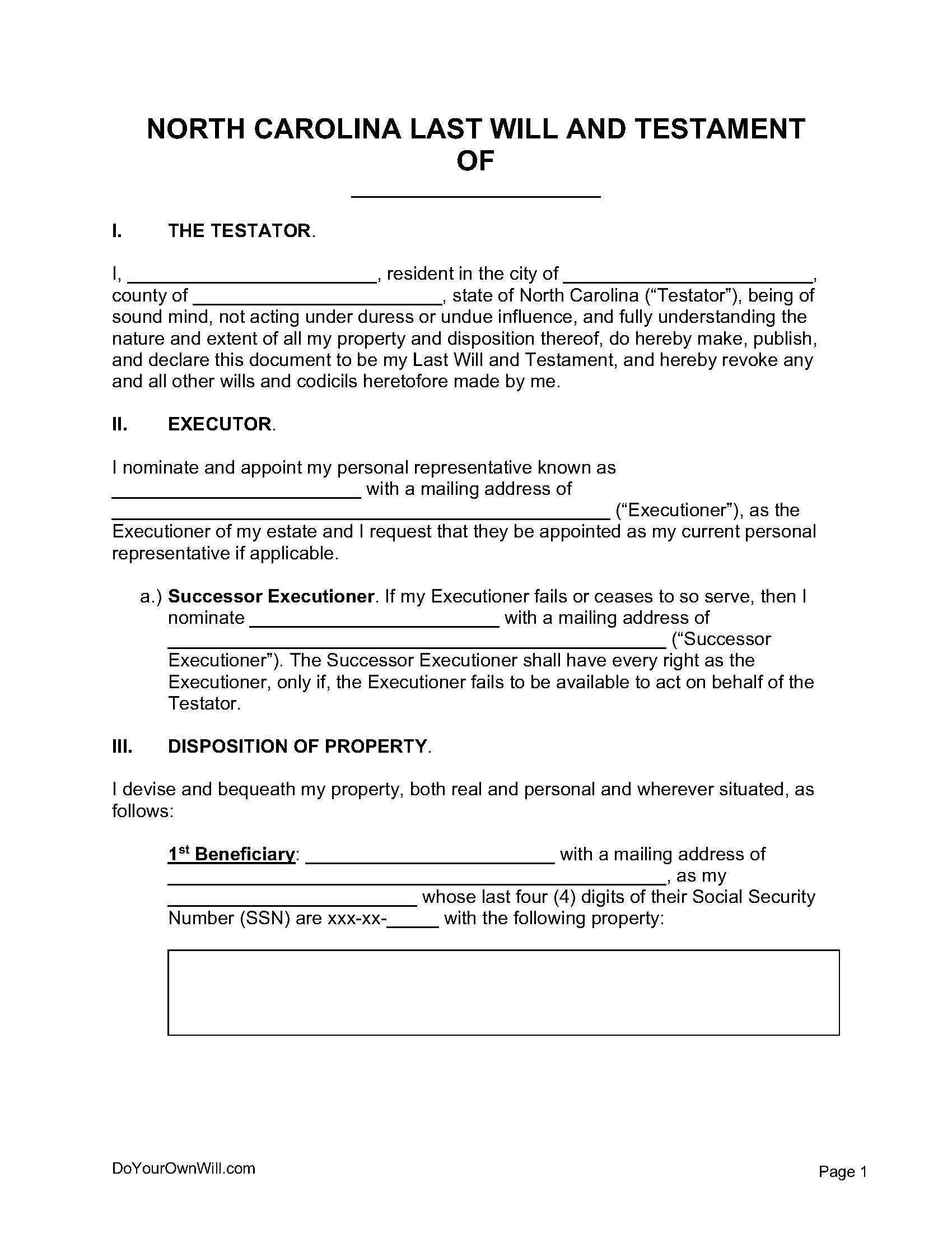
North Carolina Last Will And Testament Template Free SampleNorth Carolina Last Will And Testament Template Free Sample

North Carolina Last Will And Testament Template Free SampleNorth Carolina Last Will And Testament Template Free Sample

North Carolina Will Forms Last Will And Testament Living Will North Carolina Will Forms Last Will And Testament Living Will

Free North Carolina Last Will And Testament Template PDF WordFree North Carolina Last Will And Testament Template PDF Word

Free North Carolina Last Will And Testament Form PDF WORD ODTFree North Carolina Last Will And Testament Form PDF WORD ODT

One important thing to keep in mind when using a free legal printable form is to make sure it complies with North Carolina state laws. You want to ensure that your will is legally valid and enforceable, so it’s important to carefully review the form and make any necessary adjustments to ensure it meets all legal requirements.

It’s also a good idea to consult with an attorney or legal professional to review your completed will and provide guidance on any additional steps you may need to take. While using a free printable form can be a cost-effective way to create your will, having the guidance of a legal expert can provide added peace of mind that your wishes will be carried out as intended.

By taking the time to create a last will and testament using a free legal printable form, you can ensure that your final wishes are known and that your loved ones are provided for after you pass away. Planning for the future is an important part of taking care of your family and ensuring that your legacy lives on.

Don’t wait to create your last will and testament – start the process today by using a free legal printable form designed for North Carolina residents. By taking this important step, you can have peace of mind knowing that your wishes will be carried out and your loved ones will be taken care of according to your instructions.