Free Printable Last Will And Testament Blank Forms Florida Bar

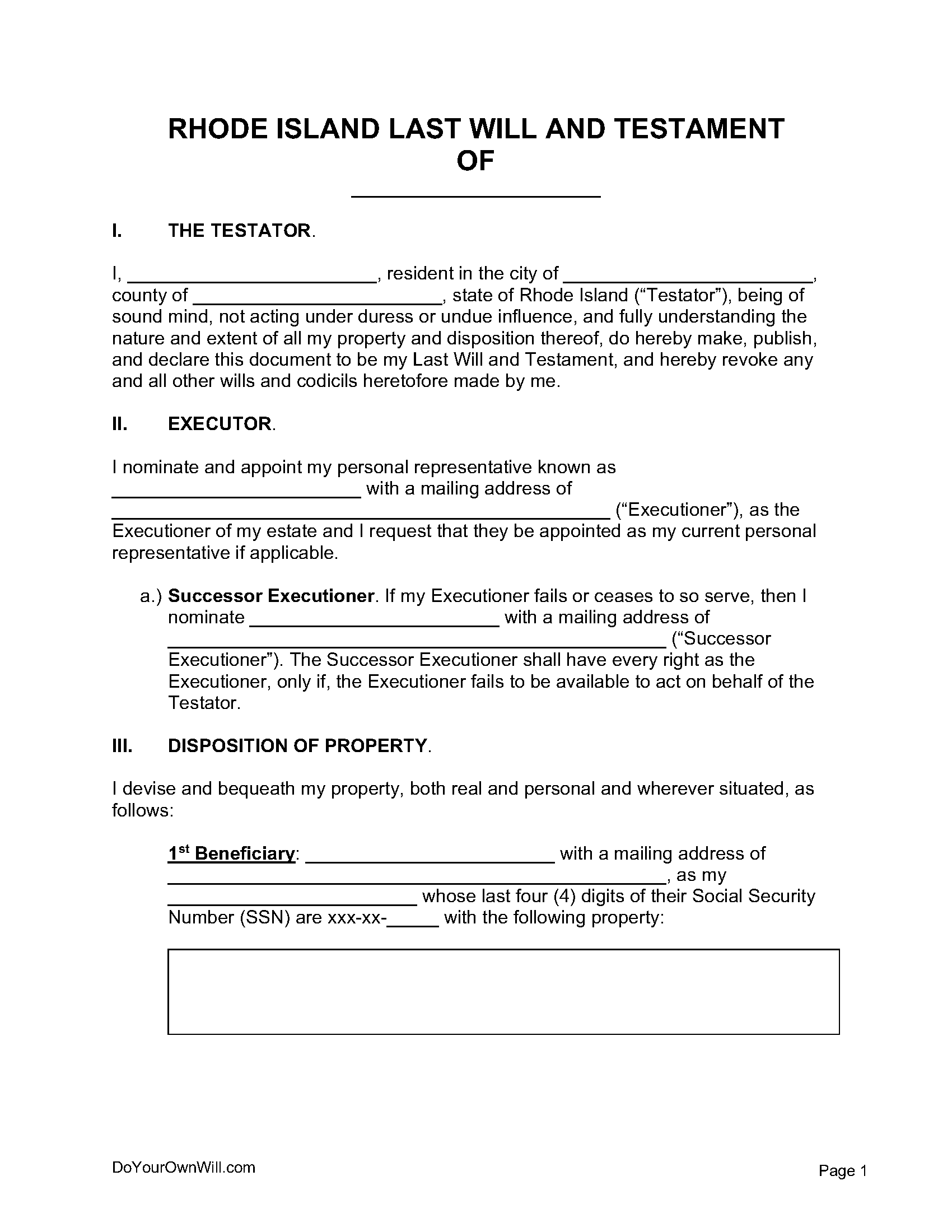
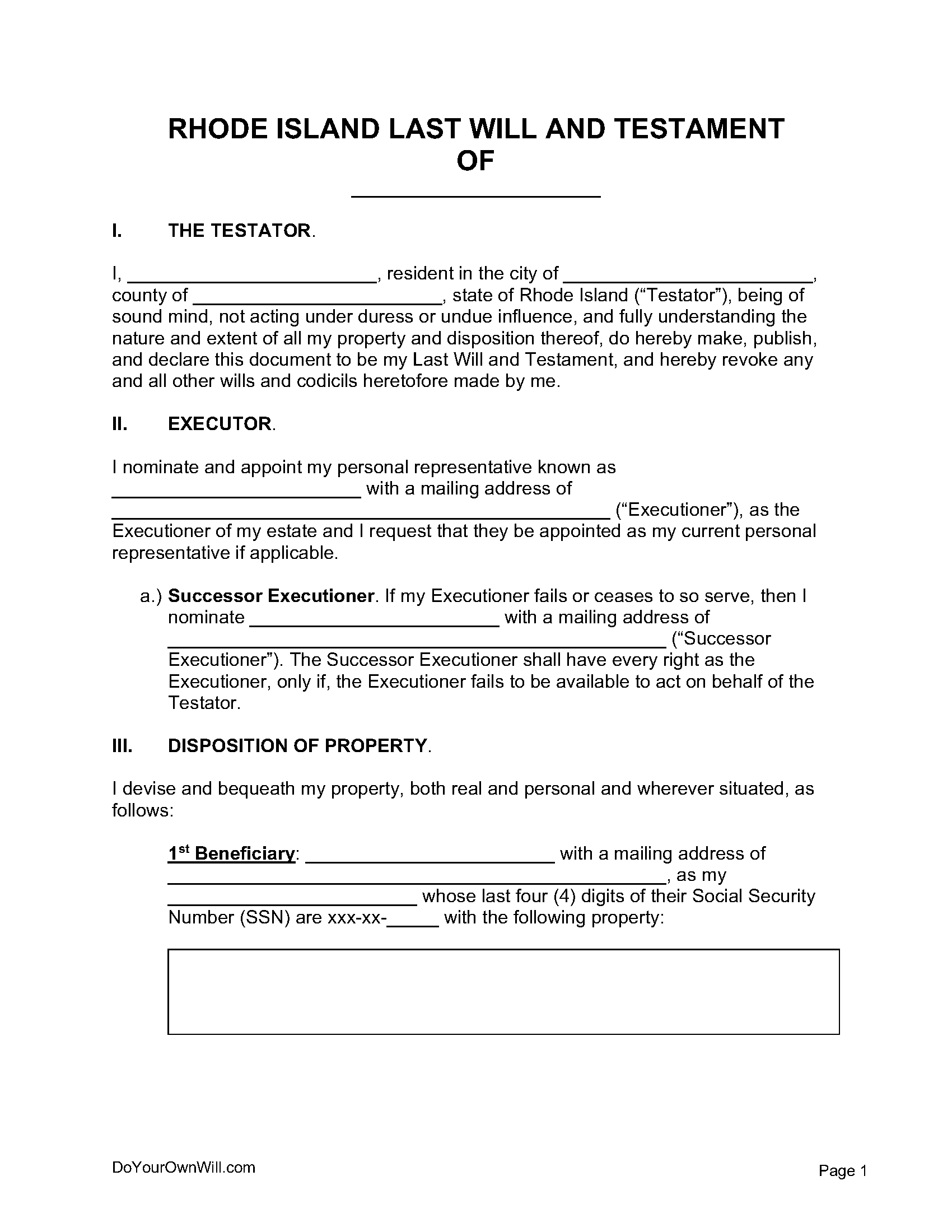
Free Rhode Island Last Will And Testament Form PDF WORD ODTFree Printable Last Will And Testament Blank Forms Florida Bar

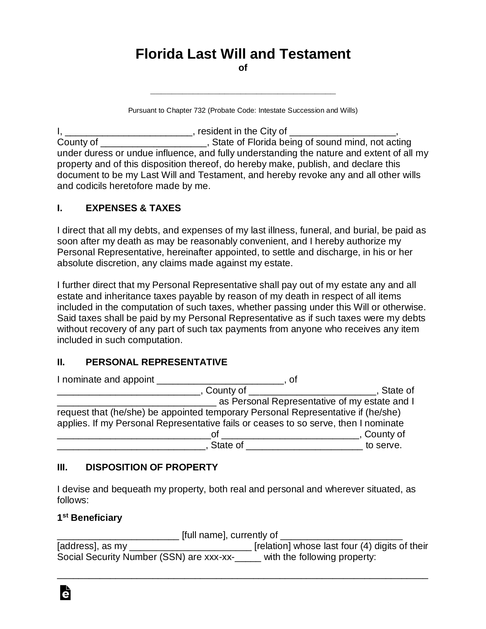
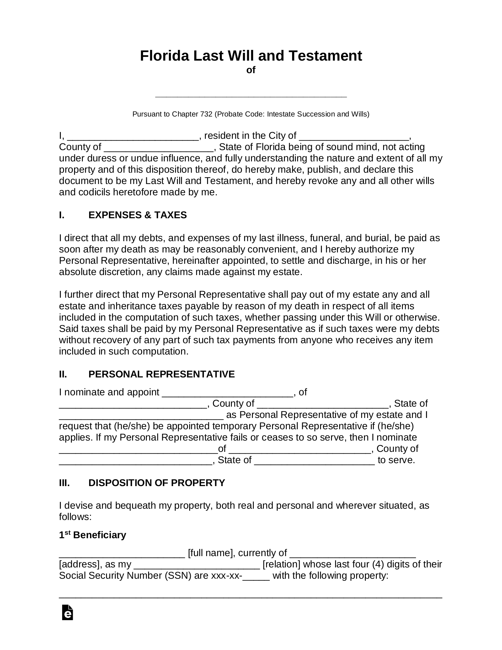
Creating a last will and testament is an important part of estate planning. It allows you to specify how your assets will be distributed after your passing, ensuring that your wishes are carried out. In Florida, the state bar provides free printable blank forms that can help you draft your will without the need for expensive legal assistance.

These forms are designed to be user-friendly and straightforward, making it easy for anyone to create a legally valid will. They cover all the essential elements required by Florida law, such as naming an executor, identifying beneficiaries, and specifying how your assets should be distributed.

Free Printable Last Will And Testament Blank Forms Florida Bar

Need an practical way to organize forms? A form printable is a smart solution for both individual and business use. Whether you’re handling employment forms, medical records, invoices, or consent forms, printable form help streamline the process with ease.

A free printable form allows you to enter important information manually or on a computer before printing. It’s perfect for offices, schools, and home offices where documentation needs to be organized, standardized, and ready to go.

Save and Print Free Printable Last Will And Testament Blank Forms Florida Bar

You can instantly find no-cost, user-friendly templates online in formats like PDF no design skills or apps required. Just download, fill in, and print as many copies as needed.

Start simplifying your routine processes and avoid unnecessary delays. Choose a professional printable forms today and stay organized, productive, and in control—whether at your house or at work.

Florida Will Forms Last Will And Testament Living Will Archives Will Forms Will FormsFlorida Will Forms Last Will And Testament Living Will Archives Will Forms Will Forms

Fillable Florida Last Will And Testament Form PDFlinerFillable Florida Last Will And Testament Form PDFliner

Free Florida Last Will And Testament Form CocoSignFree Florida Last Will And Testament Form CocoSign

Florida Last Will And Testament Templates Free Word PDF ODT Florida Last Will And Testament Templates Free Word PDF ODT

Free Florida Last Will And Testament Template PDF Word EFormsFree Florida Last Will And Testament Template PDF Word EForms

By using the free printable last will and testament blank forms provided by the Florida Bar, you can ensure that your wishes are clearly outlined and legally binding. This can provide peace of mind knowing that your loved ones will be taken care of according to your instructions.

It’s important to note that while these forms are a helpful tool for creating a basic will, they may not be suitable for more complex estate planning needs. If you have unique circumstances or wish to include specific provisions in your will, it may be wise to consult with an attorney to ensure that your wishes are accurately reflected in your legal document.

Overall, the free printable last will and testament blank forms offered by the Florida Bar can be a valuable resource for individuals looking to create a simple and cost-effective estate plan. By taking advantage of these forms, you can ensure that your assets are distributed according to your wishes and provide clarity for your loved ones during a difficult time.

Don’t wait until it’s too late to create your will. Take advantage of the free resources provided by the Florida Bar to ensure that your wishes are carried out and your loved ones are provided for.