Free Printable Last Will And Testament Blank Forms Ga
Creating a will is an important step in ensuring that your assets are distributed according to your wishes after you pass away. In Georgia, having a legally binding last will and testament is crucial to avoid any disputes among your loved ones. Fortunately, there are free printable blank forms available that you can use to draft your will.
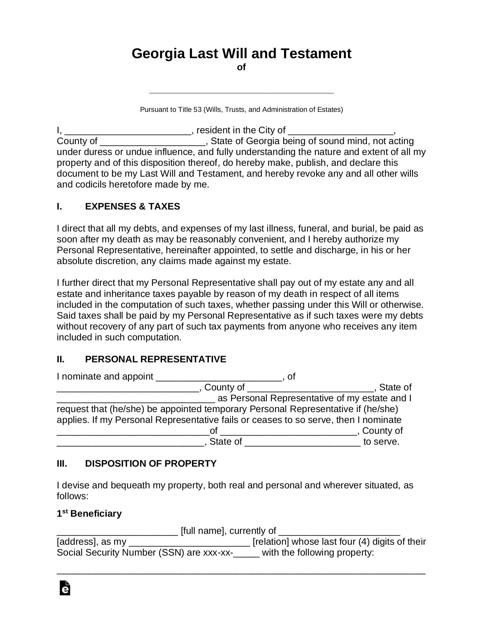
These free printable last will and testament blank forms in Georgia provide a basic template that you can customize to fit your specific needs. They typically include sections for naming an executor, specifying how you want your assets to be distributed, and appointing guardians for any minor children. By filling out these forms, you can ensure that your wishes are clearly outlined and legally binding.
Free Printable Last Will And Testament Blank Forms Ga
Need an easy way to manage paperwork? A form printable is a reliable tool for both personal and professional use. Whether you’re handling employment forms, health documents, invoices, or consent forms, printable form help streamline the process with ease.
A printable form allows you to enter important information by hand or digitally before printing. It’s perfect for offices, schools, and remote work where documentation needs to be organized, standardized, and immediately usable.
Save and Print Free Printable Last Will And Testament Blank Forms Ga
You can quickly find free, user-friendly templates online in formats like PNG no design skills or apps required. Just get, complete, and use as many copies as needed.
Start simplifying your routine processes and avoid unnecessary delays. Choose a professional free printable form today and stay efficient, focused, and in charge—whether at home or at the office.
Last Will And Testament Georgia Free Templates
Georgia Last Will And Testament Templates Free Word PDF ODT
Free Georgia Last Will And Testament Form CocoSign
Free Georgia Last Will And Testament Form CocoSign
Free Georgia Last Will And Testament Template PDF Word EForms
When using these blank forms, it’s important to carefully review and fill out each section to accurately reflect your intentions. You may also want to consult with a legal professional to ensure that your will complies with Georgia state laws and is legally valid. Additionally, it’s recommended to regularly review and update your will as your circumstances change.
By taking the time to create a last will and testament using these free printable blank forms in Georgia, you can have peace of mind knowing that your assets will be distributed according to your wishes. Whether you have a large estate or just a few personal belongings, having a will in place can help prevent any potential conflicts among your loved ones and provide clarity on your final wishes.
Overall, utilizing free printable last will and testament blank forms in Georgia is a convenient and cost-effective way to create a legally binding document that outlines your final wishes. By taking the necessary steps to create a will, you can ensure that your assets are distributed according to your wishes and provide peace of mind for yourself and your loved ones.
Don’t wait until it’s too late – take the time to create a last will and testament using these free printable blank forms in Georgia today.