Free Printable Last Will And Testament Blank Forms Michigan

Free Michigan Last Will And Testament Template CocoSignFree Printable Last Will And Testament Blank Forms Michigan

Creating a last will and testament is an important step in ensuring that your final wishes are carried out after your passing. In Michigan, having a legally binding will in place can help avoid complications and disputes among your loved ones. Fortunately, there are free printable blank forms available that can help you draft your will with ease.

These free printable last will and testament blank forms for Michigan provide a convenient and cost-effective solution for individuals looking to create a will. Whether you have a large estate or simply want to outline your wishes for your assets and possessions, these forms can help you get started on the estate planning process.

Free Printable Last Will And Testament Blank Forms Michigan

Need an easy way to manage paperwork? A printable forms is a great option for both individual and business use. Whether you’re handling employment forms, health documents, invoices, or consent forms, printable forms help save time with minimal effort.

A printable forms allows you to enter important information manually or digitally before printing. It’s excellent for offices, educational settings, and virtual setups where documentation needs to be organized, consistent, and ready to go.

Easily Download and Print Free Printable Last Will And Testament Blank Forms Michigan

You can easily find complimentary, editable templates online in formats like Jpeg no technical experience or software required. Just get, complete, and use as many copies as needed.

Take control of your form-filling needs and avoid paperwork headaches. Choose a reliable Free Printable Last Will And Testament Blank Forms Michigan today and stay efficient, focused, and in control—whether at home or at the office.

Michigan Will Forms Last Will And Testament Living Will Archives Will Forms Will FormsMichigan Will Forms Last Will And Testament Living Will Archives Will Forms Will Forms

Free Michigan Last Will And Testament Template CocoSignFree Michigan Last Will And Testament Template CocoSign

Michigan Last Will And Testament Templates Free Word PDF ODT Michigan Last Will And Testament Templates Free Word PDF ODT

Free Michigan Last Will And Testament PDF WordFree Michigan Last Will And Testament PDF Word

Free Michigan Last Will And Testament Form PDF WORD ODTFree Michigan Last Will And Testament Form PDF WORD ODT

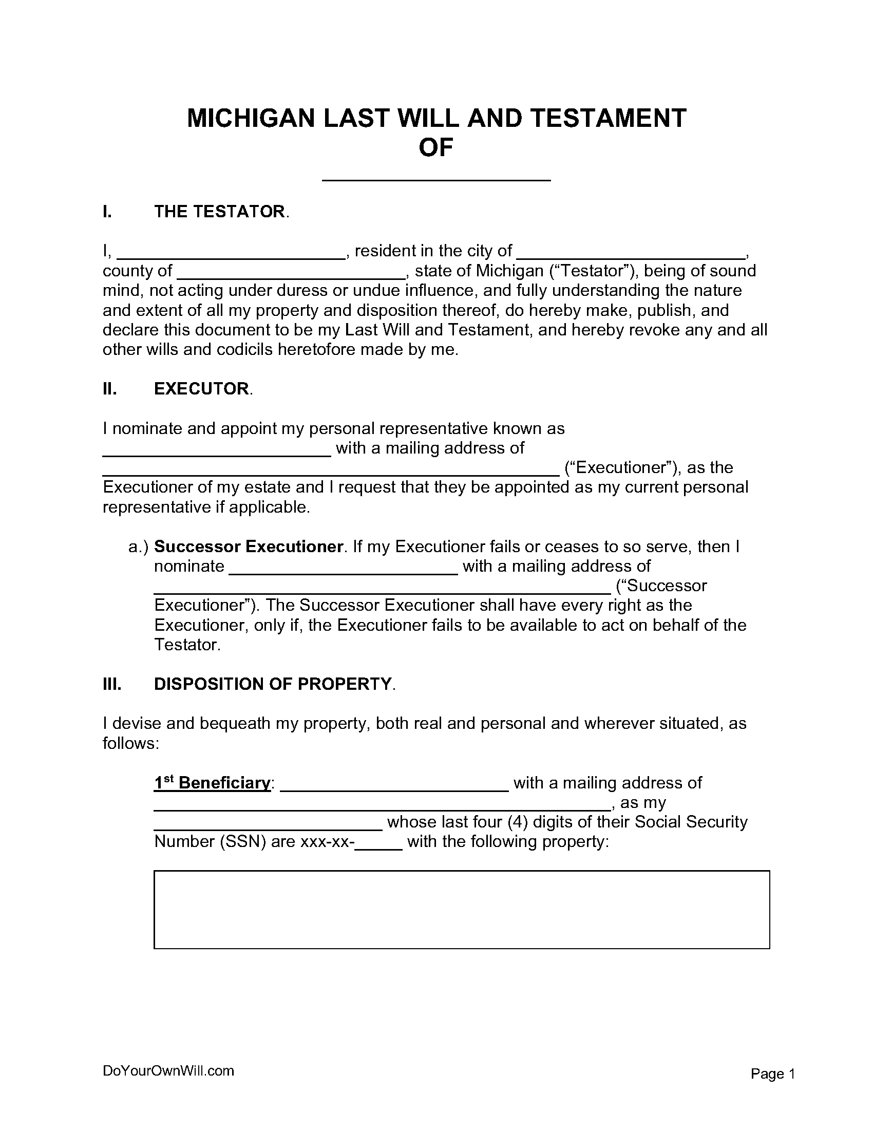
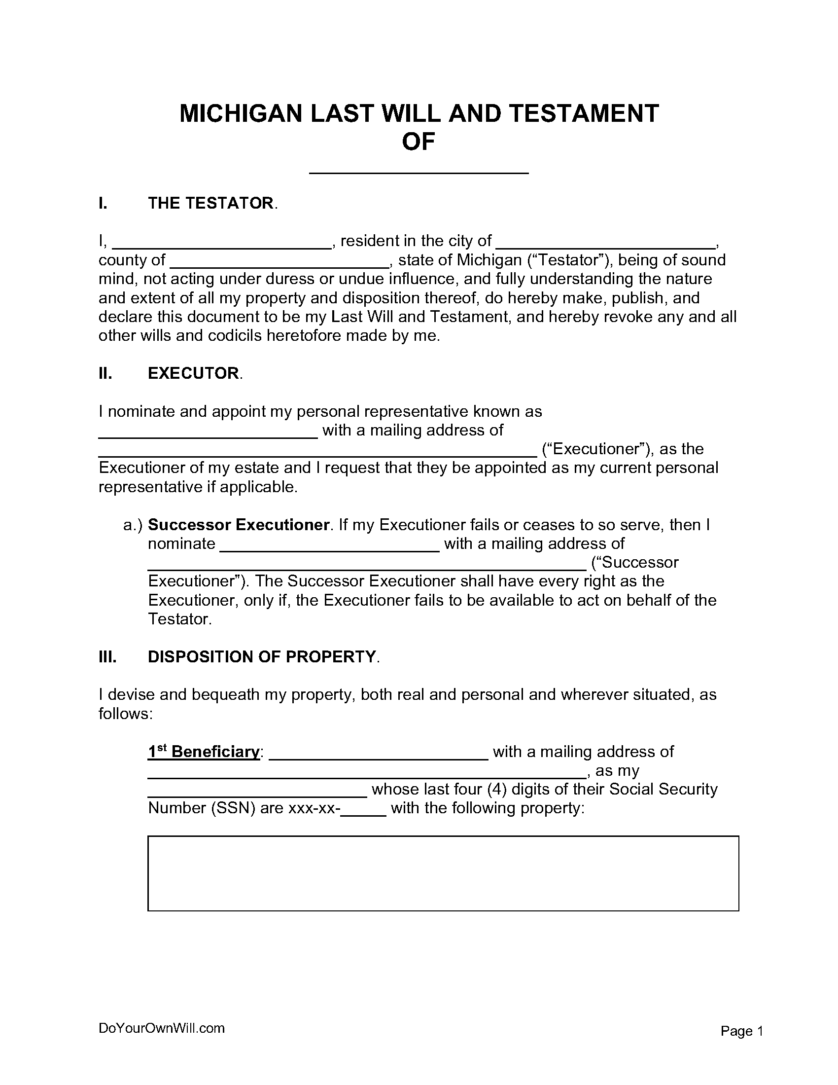
When using these blank forms, it is important to carefully consider all aspects of your estate and assets. You will need to designate beneficiaries, appoint an executor to handle your estate, and specify how you want your assets distributed. Additionally, you may also want to include provisions for guardianship of minor children, charitable donations, and any specific funeral or burial instructions.

Before finalizing your will using these free printable forms, it is recommended to consult with an attorney to ensure that your document meets all legal requirements in Michigan. An attorney can review your will, provide guidance on any complex issues, and help ensure that your wishes are clearly outlined and legally binding.

By taking the time to create a last will and testament using these free printable blank forms for Michigan, you can have peace of mind knowing that your wishes will be followed and your loved ones will be taken care of after you are gone. Estate planning is an important part of ensuring your legacy and assets are protected, and having a will in place is a crucial step in that process.

Don’t wait until it’s too late to create your last will and testament. Download these free printable forms today and start the estate planning process to protect your assets and provide for your loved ones in the future.