Free Printable Last Will And Testament Form Tn

Last Will And Testament Georgia Free Templates Free Printable Last Will And Testament Form Tn

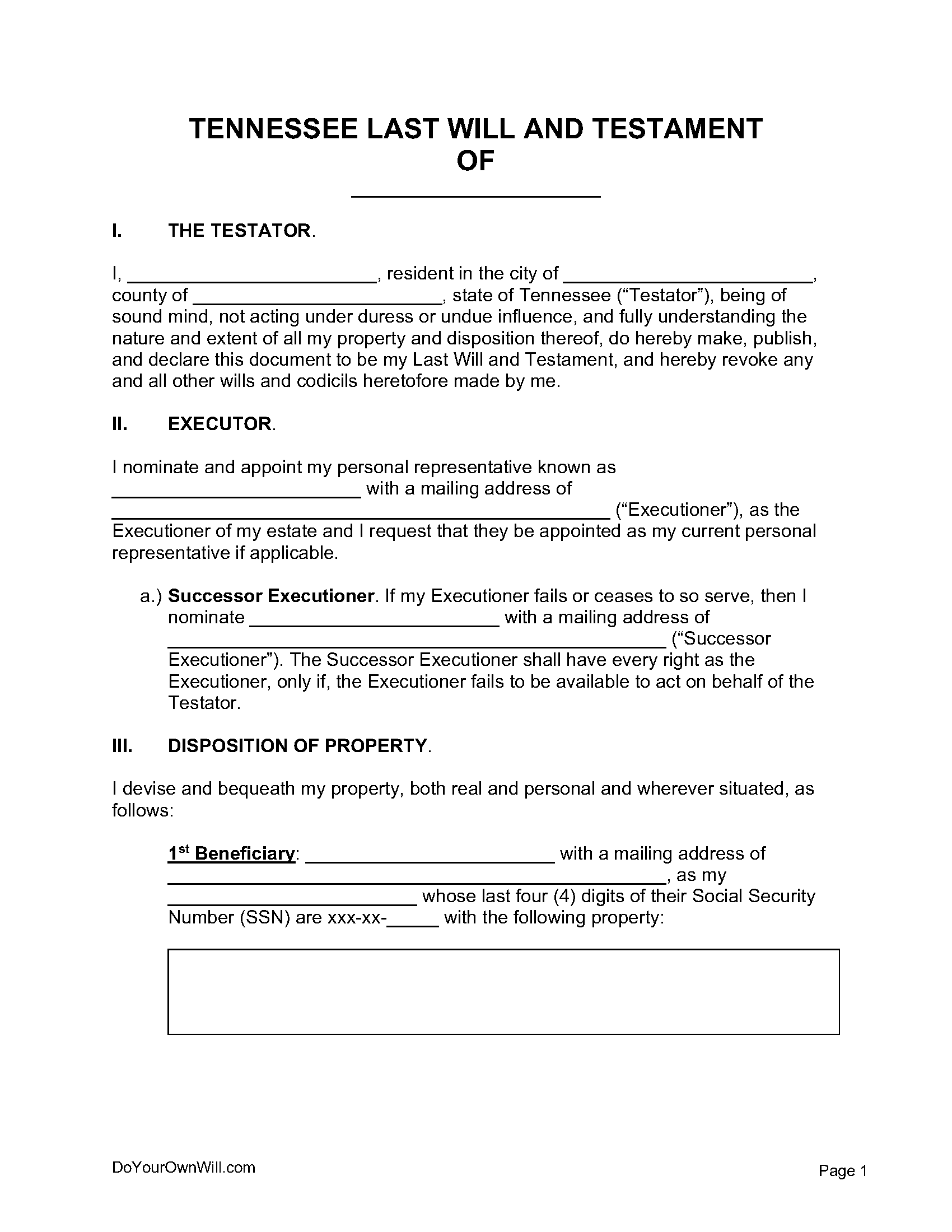
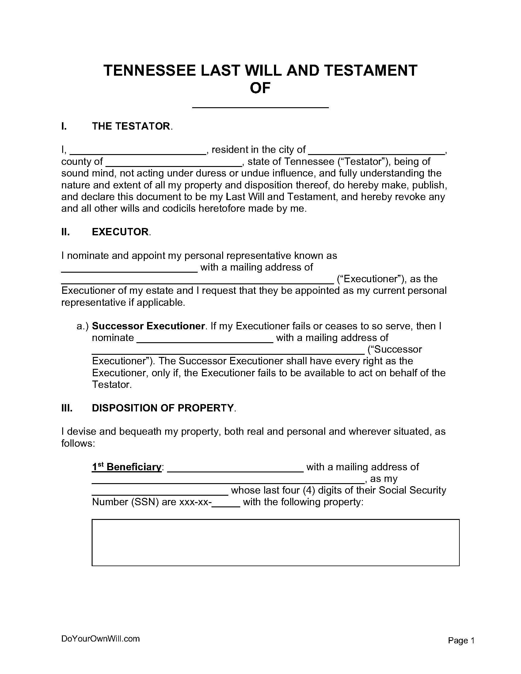
Creating a Last Will and Testament is an important step in ensuring that your assets are distributed according to your wishes after you pass away. In Tennessee, having a legally binding document is crucial to avoid any potential disputes among your loved ones. Fortunately, there are free printable Last Will and Testament forms available for residents of Tennessee to use.

By using a free printable Last Will and Testament form in Tennessee, you can outline how you want your property, assets, and personal belongings to be distributed upon your death. This document can also include provisions for naming guardians for minor children, appointing an executor to handle your estate, and specifying any final wishes you may have.

Free Printable Last Will And Testament Form Tn

Searching for an practical way to organize forms? A Free Printable Last Will And Testament Form Tn is a reliable tool for both personal and professional use. Whether you’re handling job applications, health documents, invoices, or permission slips, Free Printable Last Will And Testament Form Tn help streamline the process with ease.

A free printable form allows you to fill out important information manually or on a computer before printing. It’s perfect for workplaces, educational settings, and remote work where documentation needs to be organized, consistent, and ready to go.

Download and Print Free Printable Last Will And Testament Form Tn

You can easily find no-cost, user-friendly templates online in formats like PDF no design skills or software required. Just download, complete, and use as many copies as needed.

Start simplifying your routine processes and avoid unnecessary delays. Choose a versatile printable forms today and stay on track, focused, and in charge—whether at home or at the office.

Last Will And Testament Editable Last Will And Testament Template Printable Last Will And Testament Form PDF Instant Download Digital EtsyLast Will And Testament Editable Last Will And Testament Template Printable Last Will And Testament Form PDF Instant Download Digital Etsy

Tennessee Will Forms Last Will And Testament Living Will Archives Will Forms Will FormsTennessee Will Forms Last Will And Testament Living Will Archives Will Forms Will Forms

Tennessee Last Will And Testament Templates Free Word PDF ODT Tennessee Last Will And Testament Templates Free Word PDF ODT

Free Tennessee Last Will U0026 Testament PDF WordFree Tennessee Last Will U0026 Testament PDF Word

Free Tennessee Last Will And Testament Form PDF WORD ODTFree Tennessee Last Will And Testament Form PDF WORD ODT

When creating your Last Will and Testament in Tennessee, it is important to ensure that the document meets all legal requirements to be considered valid. This includes having witnesses sign the document in the presence of a notary public, as well as ensuring that you are of sound mind and not under any undue influence when creating the will.

Using a free printable Last Will and Testament form in Tennessee can be a cost-effective way to ensure that your final wishes are carried out. However, it is recommended to consult with an attorney to ensure that the document is legally binding and accurately reflects your intentions.

Overall, creating a Last Will and Testament is an important step in estate planning and can provide peace of mind knowing that your assets will be distributed according to your wishes. By utilizing a free printable form in Tennessee, you can take the first step towards protecting your legacy and ensuring that your loved ones are taken care of after you pass away.

Take the time to download and fill out a free printable Last Will and Testament form in Tennessee to secure your assets and provide clarity for your loved ones. It is a simple yet crucial step in estate planning that can offer peace of mind for you and your family.