Free Printable Last Will And Testament Forms California

Last Will And Testament Editable Last Will And Testament Template Printable Last Will And Testament Form PDF Instant Download Digital EtsyFree Printable Last Will And Testament Forms California

Creating a last will and testament is an important step in ensuring that your final wishes are carried out after your passing. In California, having a valid will in place can help prevent any confusion or disputes among your loved ones regarding the distribution of your assets. Fortunately, there are free printable last will and testament forms available online that can help you draft a legally binding document.

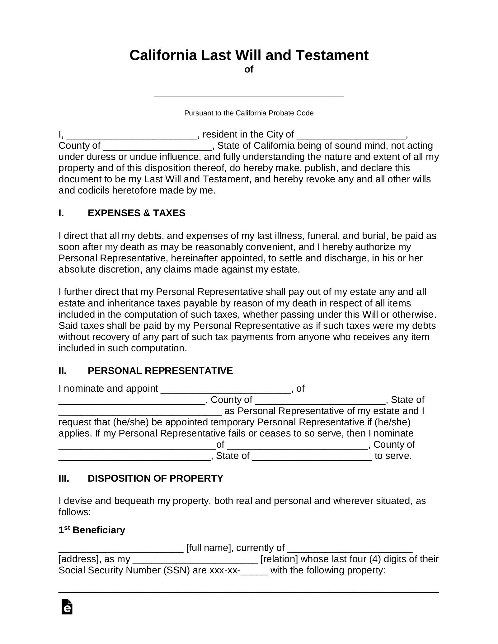
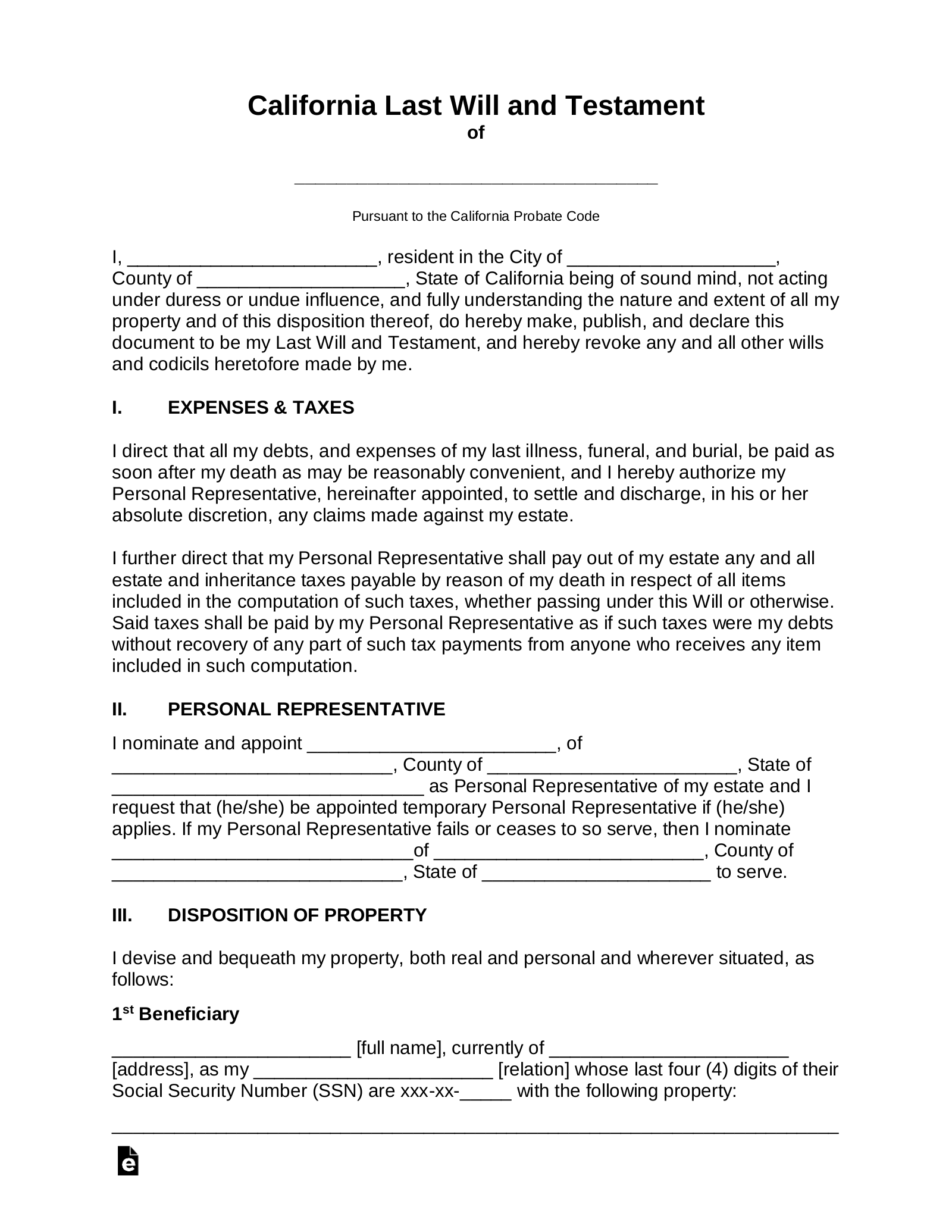
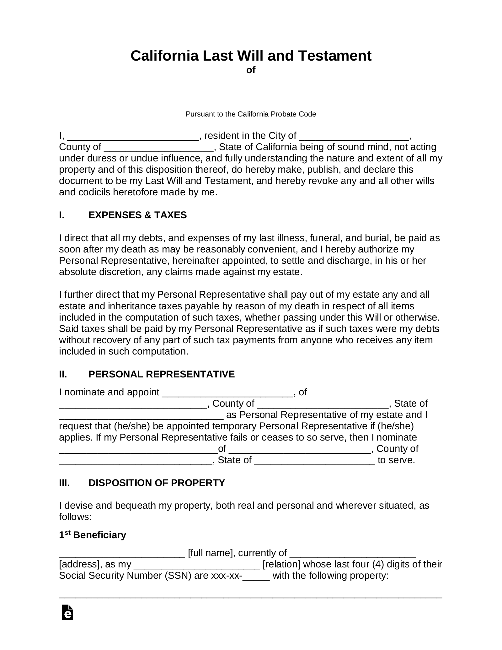
These free printable forms typically include sections for you to designate an executor, beneficiaries, and how you wish to distribute your assets. You can also specify any funeral arrangements or special requests you may have. It’s important to carefully review and consider all aspects of your will to ensure that it accurately reflects your wishes and complies with California state laws.

Free Printable Last Will And Testament Forms California

Need an efficient way to manage paperwork? A printable form is a great option for both personal and office use. Whether you’re handling employment forms, health documents, billing forms, or permission slips, printable form help simplify tasks with convenience.

A free printable form allows you to complete important information manually or digitally before printing. It’s perfect for offices, educational settings, and virtual setups where documentation needs to be clear, consistent, and immediately usable.

Get and Print Free Printable Last Will And Testament Forms California

You can easily find free, editable templates online in formats like PNG no design skills or apps required. Just get, complete, and print as many copies as needed.

Start simplifying your routine processes and avoid paperwork headaches. Choose a versatile printable form today and stay on track, productive, and in control—whether at your house or at the office.

California Will Forms Last Will And Testament Living Will Archives Will Forms Will FormsCalifornia Will Forms Last Will And Testament Living Will Archives Will Forms Will Forms

Free California Last Will And Testament Template CocoSignFree California Last Will And Testament Template CocoSign

Free California Last Will And Testament Template CocoSignFree California Last Will And Testament Template CocoSign

California Last Will And Testament Templates Free Word PDF ODT California Last Will And Testament Templates Free Word PDF ODT

Free California Last Will And Testament Template PDF Word EFormsFree California Last Will And Testament Template PDF Word EForms

When using a free printable last will and testament form in California, it’s crucial to ensure that the document meets all legal requirements. This includes having the will signed by you and witnessed by at least two individuals who are not beneficiaries. Additionally, it’s recommended to have your will notarized to further validate its authenticity.

It’s also important to periodically review and update your will as needed, especially in the event of major life changes such as marriage, divorce, or the birth of a child. By keeping your will current, you can ensure that it accurately reflects your wishes and avoids any potential issues in the future.

In conclusion, utilizing free printable last will and testament forms in California can be a convenient and cost-effective way to create a legally binding document that outlines your final wishes. However, it’s crucial to carefully review and ensure that the form meets all legal requirements to avoid any potential complications. By taking the time to create a comprehensive and up-to-date will, you can provide peace of mind for yourself and your loved ones.