Free Printable Last Will And Testament Forms For Missouri

Free Printable Last Will And Testament Templates PDF Word Free Printable Last Will And Testament Forms For Missouri

Creating a last will and testament is an important part of estate planning, as it allows you to specify how you want your assets to be distributed after your death. In Missouri, having a valid will in place can help ensure that your final wishes are carried out and can provide peace of mind for you and your loved ones.

However, hiring a lawyer to draft a will can be costly. Fortunately, there are free printable last will and testament forms available online that can help you create a basic will without the need for legal assistance. These forms are a convenient and affordable option for individuals who have simple estate planning needs.

Free Printable Last Will And Testament Forms For Missouri

Searching for an efficient way to handle documents? A free printable form is a great option for both everyday and professional use. Whether you’re handling job applications, health documents, invoices, or consent forms, printable forms help simplify tasks with ease.

A Free Printable Last Will And Testament Forms For Missouri allows you to fill out important information by hand or digitally before printing. It’s ideal for workplaces, schools, and remote work where documentation needs to be clear, consistent, and ready to go.

Get and Print Free Printable Last Will And Testament Forms For Missouri

You can instantly find free, editable templates online in formats like Jpeg no design skills or apps required. Just get, fill in, and use as many copies as needed.

Take control of your daily tasks and avoid unnecessary delays. Choose a versatile form printable today and stay organized, productive, and in control—whether at your house or at work.

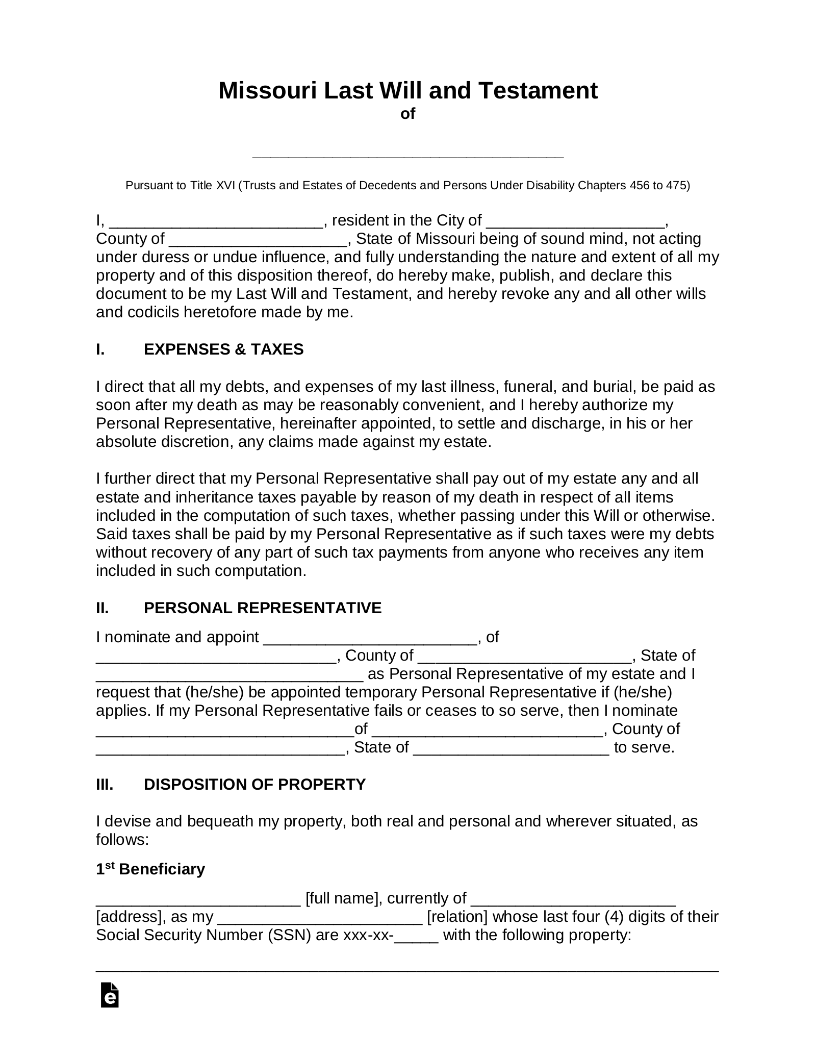
Free Missouri Last Will And Testament Template PDF Word EFormsFree Missouri Last Will And Testament Template PDF Word EForms

Missouri Last Will And Testament Templates Free Word PDF ODT Worksheets LibraryMissouri Last Will And Testament Templates Free Word PDF ODT Worksheets Library

Missouri Will Forms Last Will And Testament Living Will Archives Will Forms Will FormsMissouri Will Forms Last Will And Testament Living Will Archives Will Forms Will Forms

Free Missouri Last Will And Testament PDF WordFree Missouri Last Will And Testament PDF Word

Free Missouri Last Will And Testament Template PDF Word EFormsFree Missouri Last Will And Testament Template PDF Word EForms

When using free printable last will and testament forms for Missouri, it is important to carefully read and follow the instructions provided. Make sure to fill out all the necessary information accurately, including details about your assets, beneficiaries, and any specific instructions you may have regarding the distribution of your estate.

It is also recommended to have your will witnessed and notarized to ensure its validity. In Missouri, a will must be signed by the testator in the presence of two witnesses who are not beneficiaries or spouses of beneficiaries. Having your will notarized can further protect against any potential challenges to its authenticity.

Keep in mind that while free printable last will and testament forms can be a helpful tool for creating a basic will, they may not cover all the complexities of estate planning. If you have a large or more complex estate, or if you have specific concerns that require legal advice, it may be wise to consult with an attorney to ensure that your final wishes are accurately reflected in your will.

In conclusion, utilizing free printable last will and testament forms for Missouri can be a cost-effective way to create a basic will and ensure that your assets are distributed according to your wishes. By carefully following the instructions and making sure to have your will properly witnessed and notarized, you can have peace of mind knowing that your estate will be handled in the way you intended.