Free Printable Last Will And Testament Forms For Texas

Free Texas Last Will And Testament Forms Word PDFFree Printable Last Will And Testament Forms For Texas

Creating a Last Will and Testament is an essential part of estate planning, as it allows you to specify how you want your assets to be distributed after your passing. In Texas, having a legally binding Will can help avoid any confusion or disputes among your loved ones. Fortunately, there are free printable forms available that can help you draft your Will easily and effectively.

By using free printable Last Will and Testament forms for Texas, you can ensure that your final wishes are clearly outlined and legally documented. These forms typically include sections for appointing an executor, naming beneficiaries, specifying asset distribution, and addressing any special instructions or requests you may have.

Free Printable Last Will And Testament Forms For Texas

Looking for an efficient way to handle documents? A form printable is a reliable tool for both individual and professional use. Whether you’re handling employment forms, medical records, billing forms, or consent forms, form printable help streamline the process with ease.

A Free Printable Last Will And Testament Forms For Texas allows you to fill out important information manually or digitally before printing. It’s excellent for workplaces, schools, and virtual setups where documentation needs to be clear, standardized, and ready to go.

Download and Print Free Printable Last Will And Testament Forms For Texas

You can quickly find no-cost, editable templates online in formats like Jpg no design skills or software required. Just get, complete, and print as many copies as needed.

Take control of your routine processes and avoid paperwork headaches. Choose a professional form printable today and stay on track, focused, and in control—whether at home or at the office.

Texas Last Will And Testament Template Download Printable PDF TemplaterollerTexas Last Will And Testament Template Download Printable PDF Templateroller

Free Texas Last Will And Testament Template CocoSignFree Texas Last Will And Testament Template CocoSign

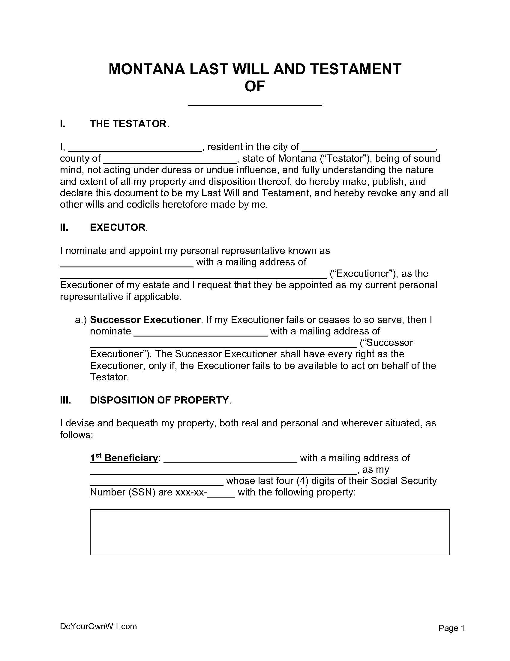
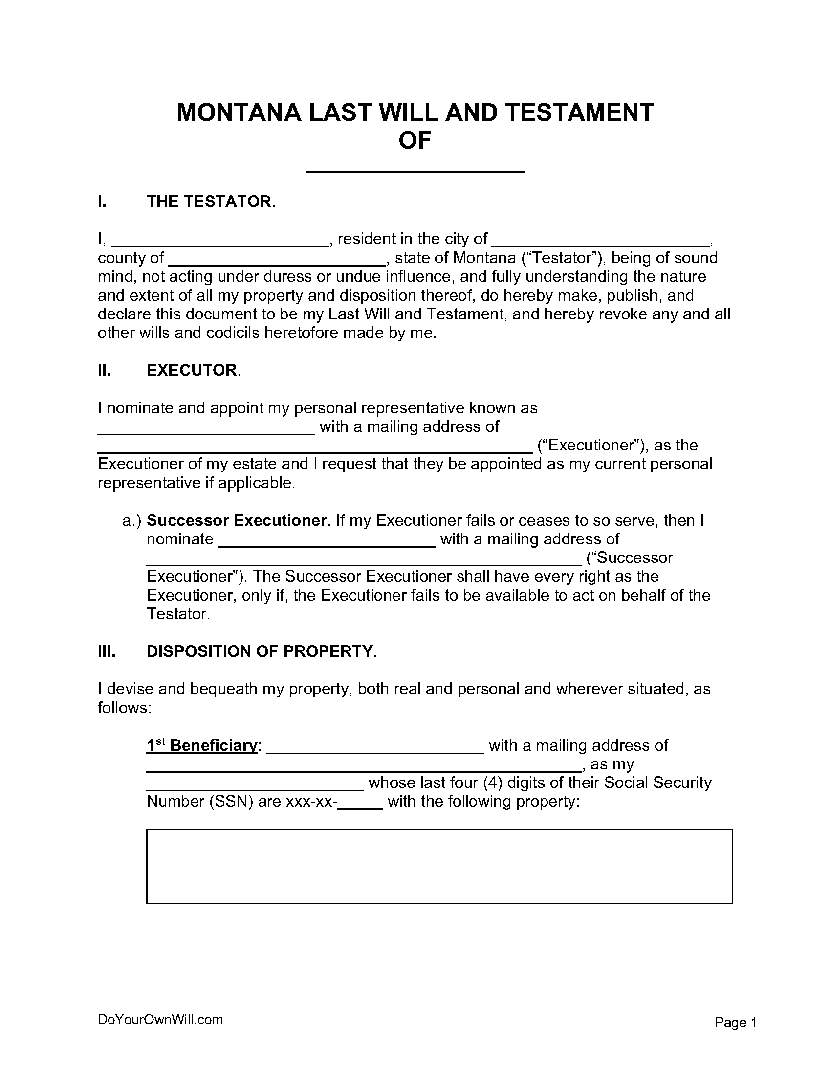
Free Montana Last Will And Testament Form PDF WORD ODTFree Montana Last Will And Testament Form PDF WORD ODT

Free Texas Last Will And Testament Template PDF WordFree Texas Last Will And Testament Template PDF Word

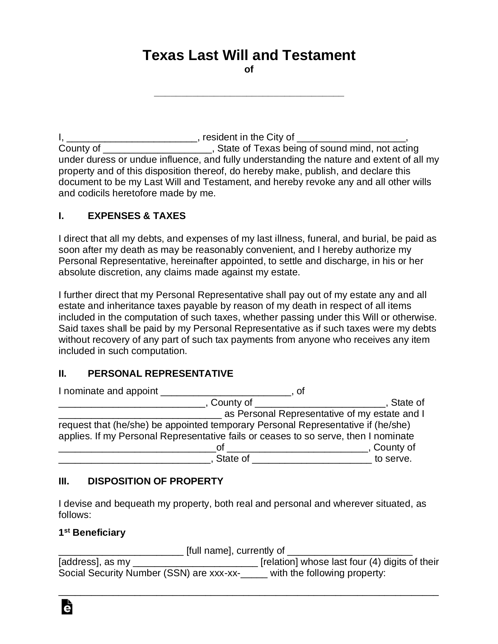
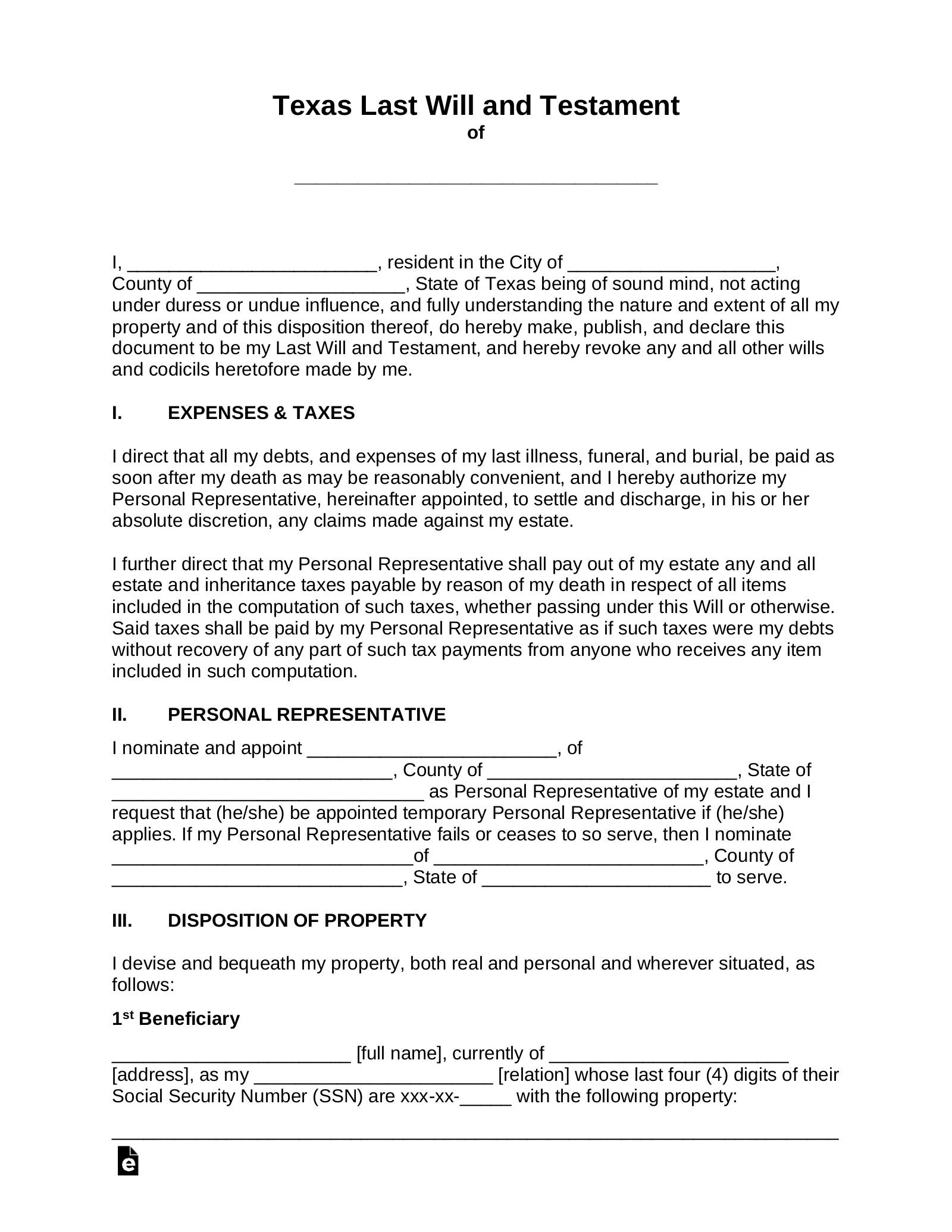
Free Texas Last Will And Testament Template PDF Word EFormsFree Texas Last Will And Testament Template PDF Word EForms

When using these forms, it is important to carefully review and customize them to fit your specific needs and circumstances. You may want to consult with an attorney to ensure that your Will complies with Texas state laws and is properly executed. Additionally, it is recommended to update your Will periodically to reflect any changes in your assets or family situation.

One popular source for free printable Last Will and Testament forms for Texas is online legal websites. These websites offer templates that can be easily downloaded, filled out, and printed from the comfort of your own home. Some websites also provide guidance on how to properly complete the forms and ensure their validity.

Overall, utilizing free printable Last Will and Testament forms for Texas can be a convenient and cost-effective way to create a legally binding document that reflects your wishes and protects your loved ones. By taking the time to draft a Will, you can provide peace of mind for yourself and your family, knowing that your estate will be handled according to your instructions.

Don’t wait until it’s too late – start planning for the future by creating your Last Will and Testament today. With the help of free printable forms, you can take the first step towards securing your legacy and ensuring that your assets are distributed according to your wishes.