Free Printable Living Will Form

Example Free Printable Living Will Forms Printable Forms Free OnlineFree Printable Living Will Form

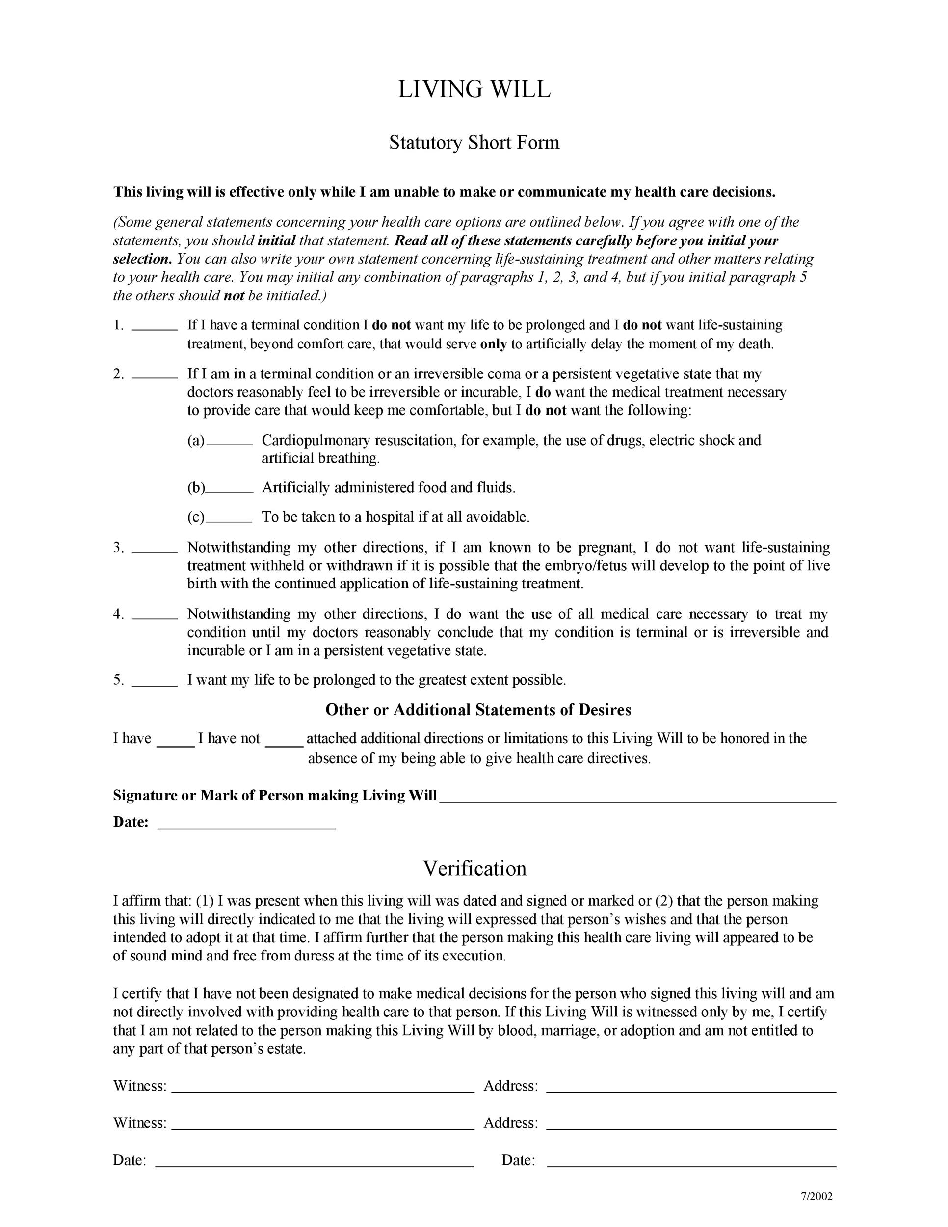
Creating a living will is an important step in ensuring that your wishes are followed in the event that you are unable to make medical decisions for yourself. A living will outlines your preferences for medical treatment, such as whether or not you want to be kept on life support or receive certain types of care. By having a living will in place, you can provide guidance to your loved ones and healthcare providers during difficult times.

Fortunately, there are resources available to help you create a living will, including free printable forms that you can easily fill out and use. These forms typically include sections for you to specify your preferences regarding life-sustaining treatments, organ donation, and other important medical decisions. By completing a living will form, you can ensure that your wishes are documented and easily accessible in case of an emergency.

Free Printable Living Will Form

Need an efficient way to handle documents? A printable form is a reliable tool for both personal and professional use. Whether you’re handling employment forms, medical records, invoices, or permission slips, free printable form help save time with minimal effort.

A Free Printable Living Will Form allows you to enter important information manually or digitally before printing. It’s excellent for workplaces, educational settings, and remote work where documentation needs to be organized, consistent, and immediately usable.

Easily Download and Print Free Printable Living Will Form

You can quickly find no-cost, user-friendly templates online in formats like PNG no design skills or apps required. Just download, complete, and print as many copies as needed.

Take control of your routine processes and avoid wasted time. Choose a reliable Free Printable Living Will Form today and stay efficient, productive, and in control—whether at home or at work.

Free Printable Forms For Living Wills Printable Forms Free OnlineFree Printable Forms For Living Wills Printable Forms Free Online

FREE 8 Sample Living Wills In PDFFREE 8 Sample Living Wills In PDF

Free Printable File Printable Living Will Forms Printable Forms Free Free Printable File Printable Living Will Forms Printable Forms Free

Free Living Will Form Health Care Directive PDF Word EFormsFree Living Will Form Health Care Directive PDF Word EForms

Free Living Will Forms PDF Word

When filling out a living will form, it’s important to be thorough and specific about your preferences. You may also want to discuss your decisions with your loved ones and healthcare providers to ensure that everyone is aware of your wishes. Additionally, it’s a good idea to review and update your living will periodically to reflect any changes in your health or preferences.

Having a living will in place can provide peace of mind for both you and your loved ones. It can help to alleviate the burden of making difficult decisions during a medical crisis and ensure that your wishes are respected. By taking the time to complete a free printable living will form, you can take control of your medical care and make your preferences known.

In conclusion, creating a living will is an important part of planning for the future and ensuring that your wishes are honored. By using a free printable living will form, you can easily document your preferences for medical treatment and provide guidance to your loved ones. Don’t wait until it’s too late – take the time to create a living will today and give yourself and your family peace of mind.