Free Printable Nc Last Will And Testament Form

Free Printable Last Will And Testament Templates PDF Word Free Printable Nc Last Will And Testament Form

Creating a last will and testament is an important step in ensuring that your final wishes are carried out after your passing. In North Carolina, having a legally binding document in place can provide peace of mind for both you and your loved ones. Fortunately, there are free printable Nc last will and testament forms available online that can help you get started on this important task.

These forms are designed to be user-friendly and easy to fill out, making the process of creating a will much more manageable. By using a free printable Nc last will and testament form, you can outline how you want your assets to be distributed, who you want to be the executor of your estate, and any other specific instructions you may have.

Free Printable Nc Last Will And Testament Form

Looking for an easy way to organize forms? A printable form is a smart solution for both personal and professional use. Whether you’re handling employment forms, medical records, billing forms, or consent forms, printable forms help simplify tasks with ease.

A printable form allows you to fill out important information manually or on a computer before printing. It’s ideal for offices, schools, and remote work where documentation needs to be organized, standardized, and ready to go.

Get and Print Free Printable Nc Last Will And Testament Form

You can quickly find complimentary, customizable templates online in formats like Jpeg no design skills or software required. Just get, fill in, and print as many copies as needed.

Start simplifying your daily tasks and avoid wasted time. Choose a professional Free Printable Nc Last Will And Testament Form today and stay on track, focused, and in charge—whether at home or at work.

North Carolina Last Will And Testament Template Free SampleNorth Carolina Last Will And Testament Template Free Sample

North Carolina Will Forms Last Will And Testament Living Will Archives Will Forms Will FormsNorth Carolina Will Forms Last Will And Testament Living Will Archives Will Forms Will Forms

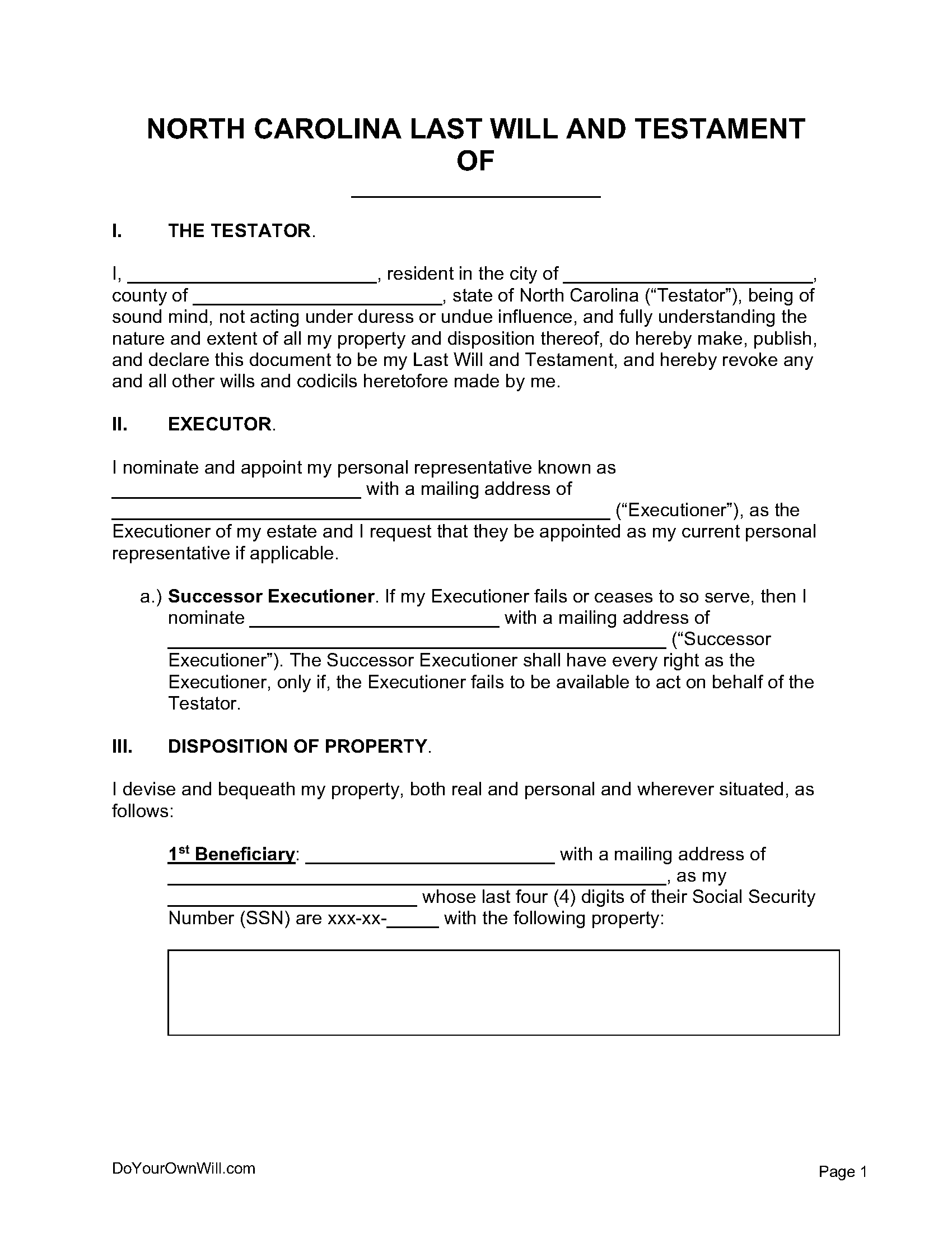
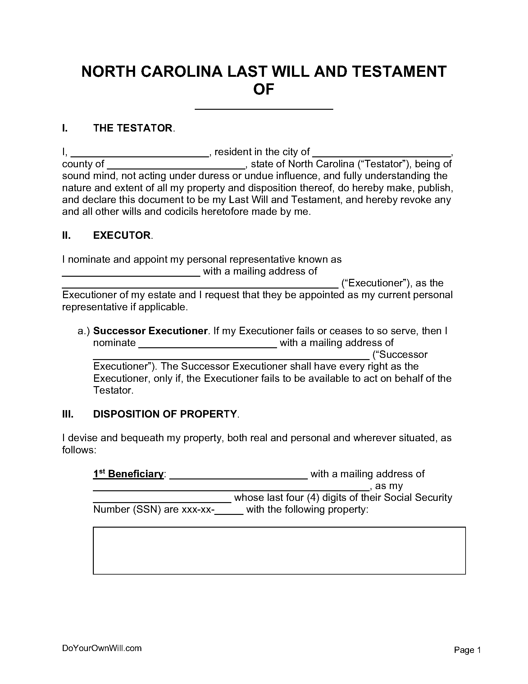
North Carolina Last Will And Testament Templates Free Word PDF ODT North Carolina Last Will And Testament Templates Free Word PDF ODT

Free North Carolina Last Will And Testament Template PDF WordFree North Carolina Last Will And Testament Template PDF Word

Free North Carolina Last Will And Testament Form PDF WORD ODTFree North Carolina Last Will And Testament Form PDF WORD ODT

It’s important to note that while these forms can be a great starting point, it’s always a good idea to consult with an attorney to ensure that your will is legally valid and properly executed. An attorney can also provide guidance on any specific laws or regulations in North Carolina that may impact your will.

When filling out a free printable Nc last will and testament form, be sure to be as detailed as possible and to review the document carefully before finalizing it. You may also want to consider updating your will periodically to reflect any changes in your circumstances or wishes.

In conclusion, having a last will and testament in place is an important part of planning for the future. By using a free printable Nc last will and testament form, you can take the first step towards ensuring that your final wishes are carried out. Remember to consult with an attorney for additional guidance and peace of mind.