Free Printable North Carolina Last Will And Testament Forms

North Carolina Last Will And Testament Template Free SampleFree Printable North Carolina Last Will And Testament Forms

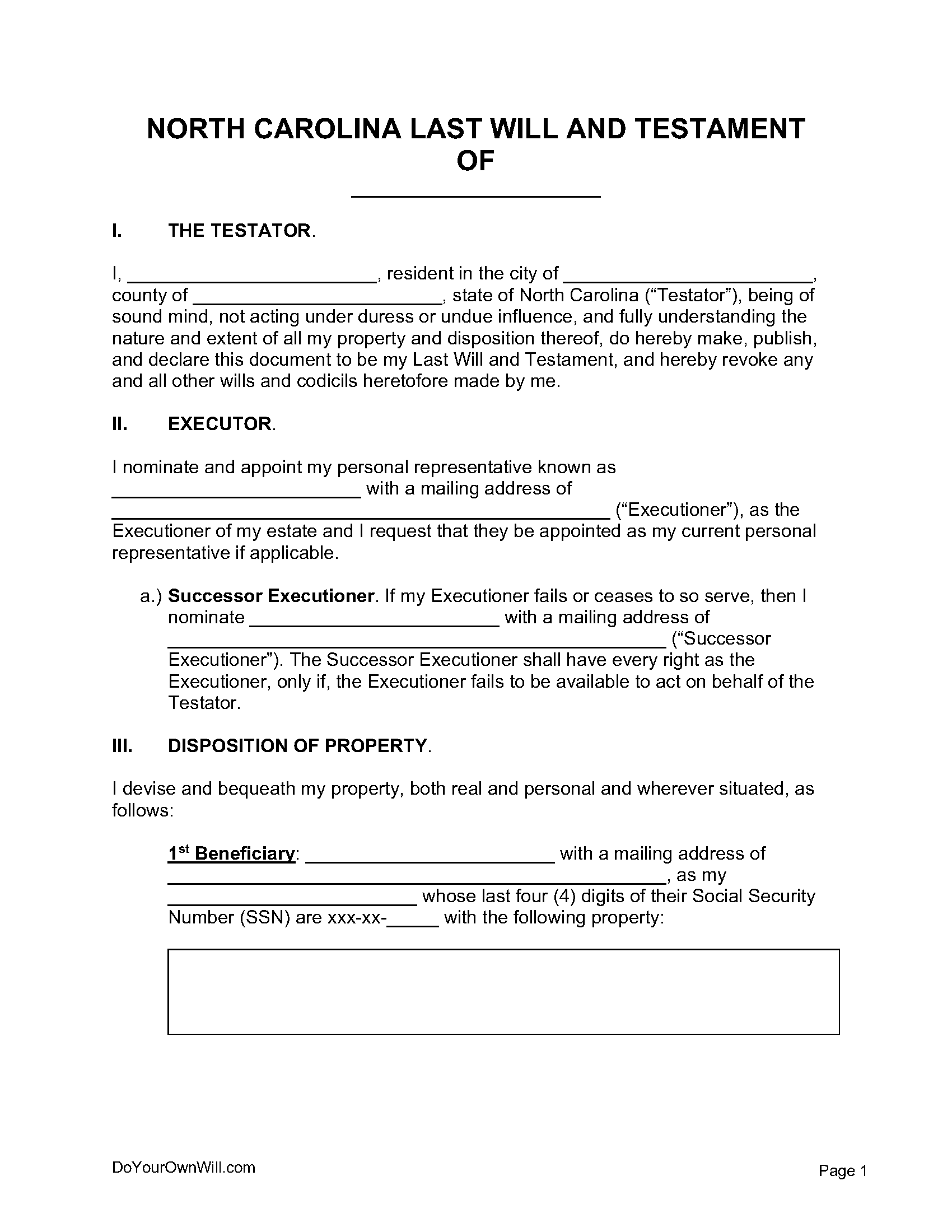
Creating a last will and testament is an essential part of estate planning, ensuring that your assets are distributed according to your wishes after you pass away. In North Carolina, having a valid will in place can provide peace of mind for both you and your loved ones. However, the process of creating a will can be overwhelming and costly. Fortunately, there are free printable North Carolina last will and testament forms available online to help simplify the process.

These free printable forms can be easily accessed and downloaded, allowing you to fill in your information and customize your will according to your preferences. Whether you have a simple estate or more complex assets, having a will in place ensures that your loved ones are taken care of and your wishes are respected.

Free Printable North Carolina Last Will And Testament Forms

Looking for an practical way to organize forms? A printable form is a great option for both individual and business use. Whether you’re handling job applications, medical records, invoices, or permission slips, printable form help streamline the process with convenience.

A printable forms allows you to fill out important information by hand or digitally before printing. It’s excellent for workplaces, schools, and home offices where documentation needs to be clear, consistent, and immediately usable.

Easily Download and Print Free Printable North Carolina Last Will And Testament Forms

You can easily find complimentary, customizable templates online in formats like Jpeg no technical experience or software required. Just get, fill in, and use as many copies as needed.

Start simplifying your daily tasks and avoid wasted time. Choose a reliable Free Printable North Carolina Last Will And Testament Forms today and stay organized, focused, and in charge—whether at your house or at the office.

North Carolina Last Will And Testament Template Free SampleNorth Carolina Last Will And Testament Template Free Sample

North Carolina Last Will And Testament Templates Free Word PDF ODT North Carolina Last Will And Testament Templates Free Word PDF ODT

North Carolina Will Forms Last Will And Testament Living Will Archives Will Forms Will FormsNorth Carolina Will Forms Last Will And Testament Living Will Archives Will Forms Will Forms

Free North Carolina Last Will And Testament Template PDF WordFree North Carolina Last Will And Testament Template PDF Word

Free North Carolina Last Will And Testament Form PDF WORD ODTFree North Carolina Last Will And Testament Form PDF WORD ODT

When using these free printable North Carolina last will and testament forms, it is important to carefully review and complete each section to ensure that your will is legally binding and accurately reflects your wishes. You may also want to consult with an attorney to ensure that your will meets all legal requirements in North Carolina.

By taking the time to create a last will and testament, you can provide guidance for your loved ones during a difficult time and ensure that your assets are distributed according to your wishes. These free printable forms offer a convenient and cost-effective way to create a will without the need for expensive legal fees.

Overall, having a last will and testament in place is an important step in estate planning, and these free printable North Carolina forms make the process easier and more accessible. By utilizing these forms, you can take control of your estate and provide peace of mind for yourself and your loved ones.

Take advantage of these free printable North Carolina last will and testament forms to protect your assets and ensure that your wishes are honored after you pass away. Start the process of creating your will today and gain peace of mind knowing that your loved ones are taken care of.