Free Printable Power Of Attorney Form Florida

Free Florida Power Of Attorney Forms 9 Types PDF Word EFormsFree Printable Power Of Attorney Form Florida

Are you in need of a Power of Attorney form in Florida but don’t want to spend a fortune on legal fees? Look no further! With a free printable Power of Attorney form, you can easily designate someone to make important decisions on your behalf without breaking the bank.

Having a Power of Attorney in place is crucial for anyone who wants to ensure their affairs are taken care of in the event they become incapacitated. Whether you need someone to handle financial matters, make medical decisions, or manage your real estate, a Power of Attorney form can give you peace of mind.

Free Printable Power Of Attorney Form Florida

Need an efficient way to organize forms? A printable form is a reliable tool for both everyday and business use. Whether you’re handling job applications, health documents, billing forms, or consent forms, printable form help save time with ease.

A printable forms allows you to complete important information manually or on a computer before printing. It’s excellent for workplaces, educational settings, and virtual setups where documentation needs to be clear, standardized, and ready to go.

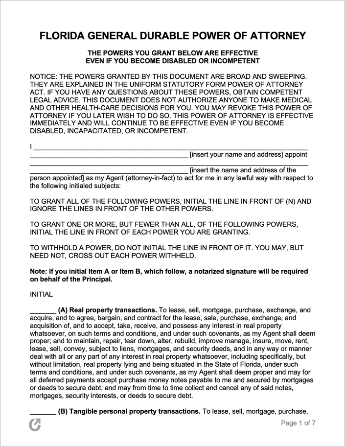
Save and Print Free Printable Power Of Attorney Form Florida

You can quickly find complimentary, user-friendly templates online in formats like Jpeg no technical experience or software required. Just download, complete, and print as many copies as needed.

Start simplifying your daily tasks and avoid wasted time. Choose a reliable free printable form today and stay organized, productive, and in control—whether at home or at work.

Free Florida Power Of Attorney Forms PDF WORDFree Florida Power Of Attorney Forms PDF WORD

Free Florida Power Of Attorney Forms PDF WORDFree Florida Power Of Attorney Forms PDF WORD

Free Printable Power Of Attorney Form Florida Printable Free Free Printable Power Of Attorney Form Florida Printable Free

Florida Power Of Attorney Form Free Printable Printable TemplatesFlorida Power Of Attorney Form Free Printable Printable Templates

Free Florida Power Of Attorney Forms PDF TemplatesFree Florida Power Of Attorney Forms PDF Templates

With a free printable Power of Attorney form specific to Florida, you can easily customize the document to meet your individual needs. Simply fill in the necessary information, sign the form in the presence of a notary public, and you’re ready to go. It’s that simple!

By utilizing a free printable Power of Attorney form, you can save time and money while still ensuring that your wishes are carried out in the event of an emergency. Don’t wait until it’s too late – take control of your future today with a Power of Attorney form that meets all of Florida’s legal requirements.

Don’t let the fear of high legal fees deter you from protecting yourself and your assets. With a free printable Power of Attorney form specific to Florida, you can rest easy knowing that your affairs are in good hands. Take the first step towards securing your future by downloading a Power of Attorney form today.

Remember, it’s never too early to plan for the unexpected. With a Power of Attorney form in place, you can ensure that your wishes are carried out exactly as you intended. Don’t wait until it’s too late – take control of your future today!