Free Will And Testament Forms Printable

39 Last Will And Testament Forms U0026 Templates TemplateLabFree Will And Testament Forms Printable

Creating a last will and testament is an essential part of estate planning. It allows you to dictate how your assets will be distributed after your passing, ensuring that your wishes are carried out. While consulting with a lawyer is recommended for more complex estates, there are also free printable forms available online that can help you get started.

Free will and testament forms printable are easy to find and can be a cost-effective solution for those looking to create a basic will. These forms typically include sections where you can designate beneficiaries, assign guardianship for minors, and specify any specific bequests or conditions for inheritance.

Free Will And Testament Forms Printable

Need an efficient way to organize forms? A free printable form is a great option for both individual and business use. Whether you’re handling employment forms, medical records, billing forms, or consent forms, printable forms help streamline the process with ease.

A printable forms allows you to fill out important information by hand or digitally before printing. It’s ideal for offices, schools, and remote work where documentation needs to be clear, standardized, and immediately usable.

Download and Print Free Will And Testament Forms Printable

You can instantly find free, editable templates online in formats like Jpg no technical experience or apps required. Just get, complete, and print as many copies as needed.

Take control of your daily tasks and avoid paperwork headaches. Choose a reliable form printable today and stay efficient, productive, and in charge—whether at your house or at the office.

Free Printable Last Will And Testament Templates PDF Word Free Printable Last Will And Testament Templates PDF Word

Free Last Will And Testament Template Templates 2 PDF WordFree Last Will And Testament Template Templates 2 PDF Word

39 Last Will And Testament Forms U0026 Templates TemplateLab39 Last Will And Testament Forms U0026 Templates TemplateLab

39 Last Will And Testament Forms U0026 Templates TemplateLab39 Last Will And Testament Forms U0026 Templates TemplateLab

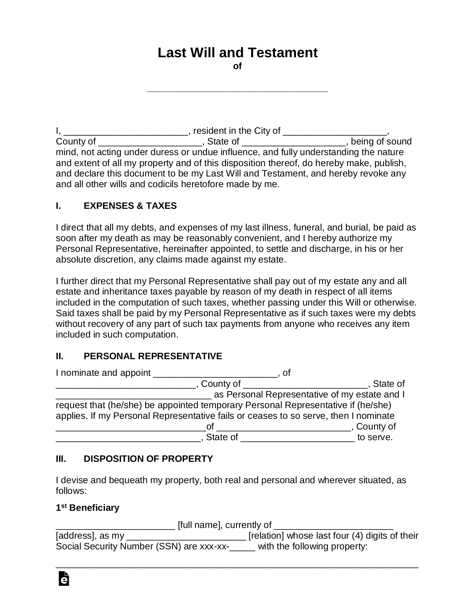
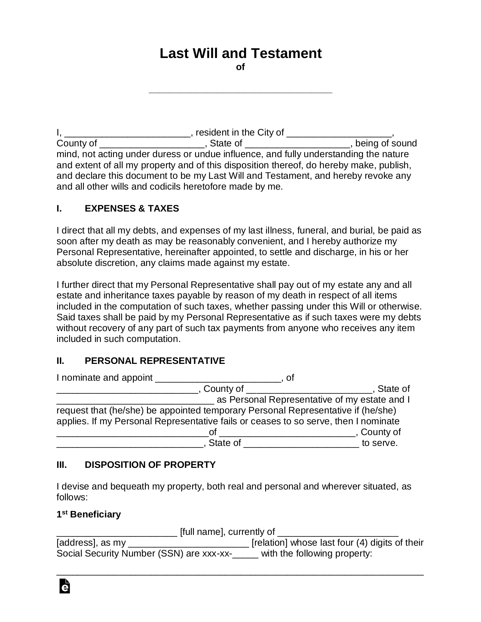
Free Last Will And Testament Will PDF Word EFormsFree Last Will And Testament Will PDF Word EForms

When using free printable forms for your will, it’s important to ensure that the document complies with the laws of your state. Each state has its own requirements for wills, so be sure to research and understand the legalities involved to avoid any potential issues down the line.

While free will and testament forms can be a good starting point, they may not cover all your needs or specific circumstances. If you have a complex estate, multiple beneficiaries, or unique assets, it’s best to consult with an attorney to ensure that your will is legally sound and comprehensive.

Remember to periodically review and update your will as your circumstances change. Life events such as marriage, divorce, birth of children, or acquisition of new assets can all impact your estate plan, so it’s important to keep your will current to reflect your wishes accurately.

In conclusion, free will and testament forms printable can be a helpful tool for basic estate planning. However, for more complex estates or specific needs, consulting with an attorney is recommended to ensure that your will is legally sound and comprehensive. By taking the time to create a well-thought-out will, you can have peace of mind knowing that your assets will be distributed according to your wishes.