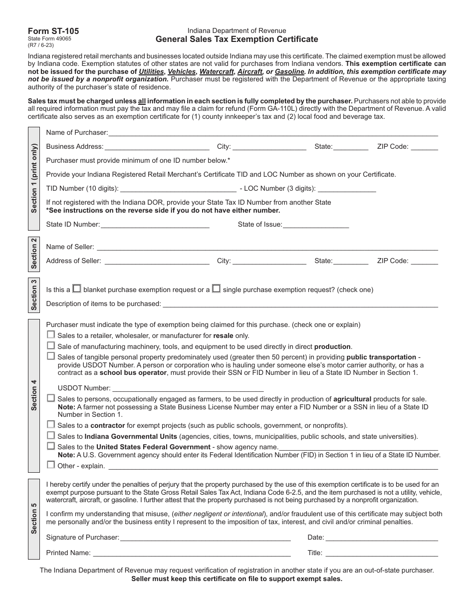
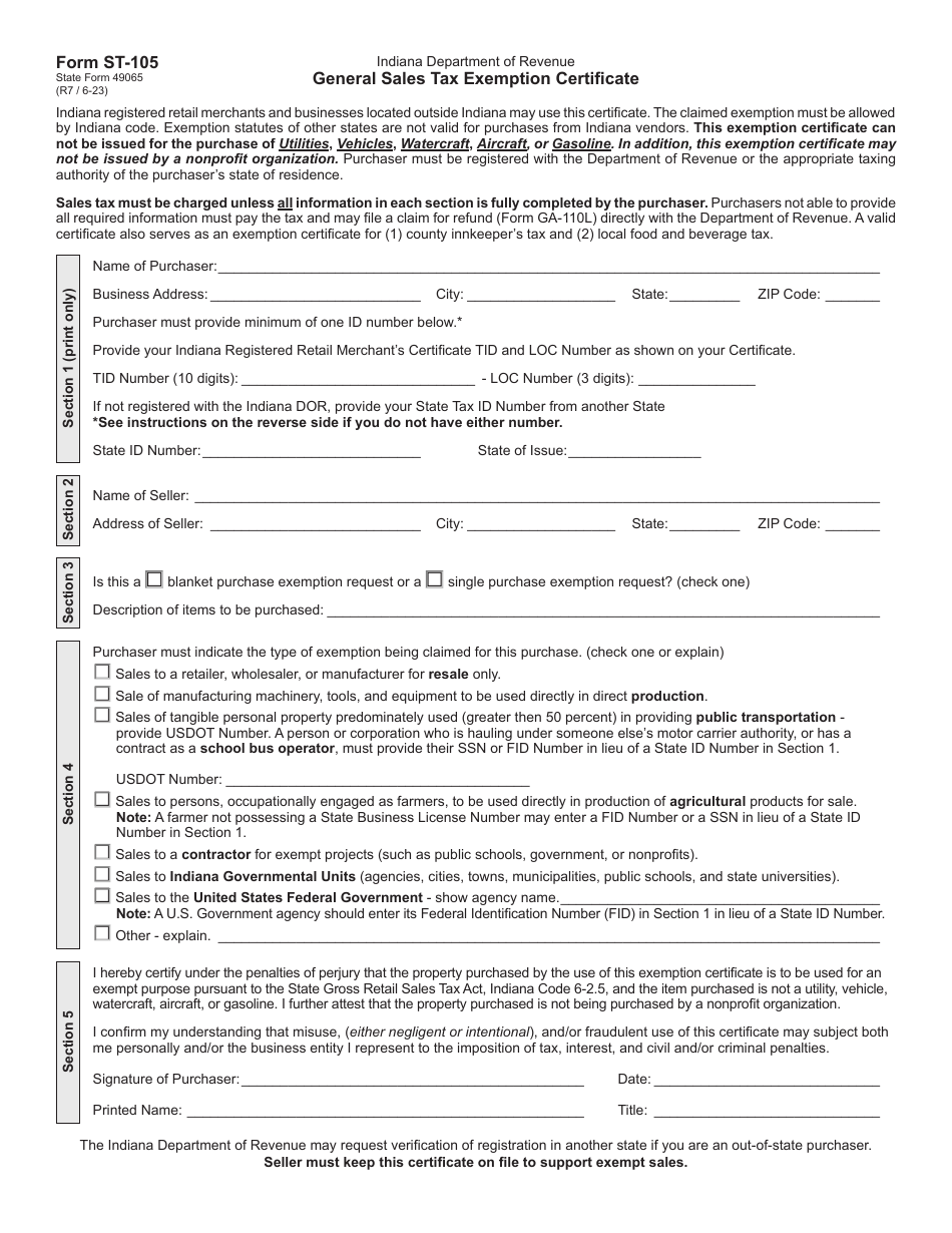
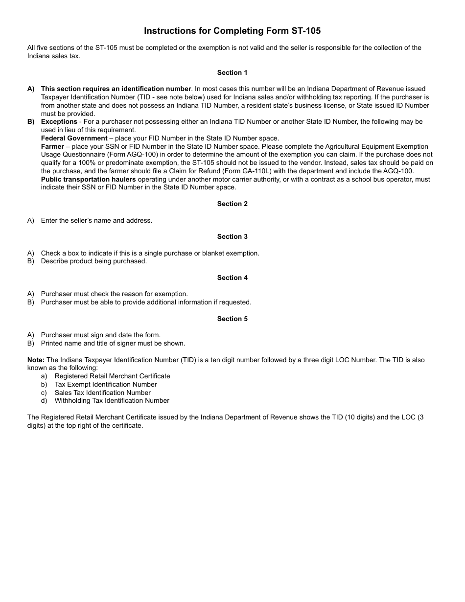
Indiana State Tax Exempt Form is a document that allows certain organizations and individuals to make purchases without paying state sales tax. This form is typically used by non-profit organizations, government agencies, and other entities that qualify for tax-exempt status under Indiana law.
By completing the Indiana State Tax Exempt Form, eligible entities can provide proof of their tax-exempt status to vendors when making purchases. This helps them avoid paying sales tax on qualifying items, ultimately saving them money on their transactions.
Indiana State Tax Exempt Form
Searching for an easy way to manage paperwork? A free printable form is a great option for both personal and professional use. Whether you’re handling employment forms, health documents, invoices, or permission slips, form printable help save time with ease.
A form printable allows you to fill out important information by hand or digitally before printing. It’s ideal for offices, educational settings, and remote work where documentation needs to be organized, consistent, and ready to go.
Save and Print Indiana State Tax Exempt Form
You can easily find free, customizable templates online in formats like PDF no technical experience or apps required. Just download, complete, and use as many copies as needed.
Begin streamlining your daily tasks and avoid paperwork headaches. Choose a reliable free printable form today and stay efficient, focused, and in control—whether at home or at work.
State Form 49065 ST 105 Download Fillable PDF Or Fill Online General
St109 Utility Sales Tax Exemption Complete With Ease AirSlate SignNow
Tax Exempt Status Templates PDF Download Fill And Print For Free
State Form 49065 ST 105 Download Fillable PDF Or Fill Online General
Indiana Tax Exemption Form 2025 Rebecca Stewarts
Benefits of Indiana State Tax Exempt Form
One of the main benefits of using the Indiana State Tax Exempt Form is the ability to save money on purchases by avoiding sales tax. This can result in significant savings for organizations that make frequent purchases of taxable items.
In addition, having tax-exempt status can streamline the purchasing process for eligible entities. By providing vendors with the necessary documentation upfront, they can avoid having to request refunds for sales tax paid after the fact.
Furthermore, using the Indiana State Tax Exempt Form can help organizations stay compliant with state tax laws. By ensuring that they are properly documenting their tax-exempt purchases, entities can avoid potential penalties or fines for non-compliance.
Overall, the Indiana State Tax Exempt Form is a valuable tool for qualifying organizations and individuals to save money, simplify their purchasing process, and maintain compliance with state tax laws.
It is important for eligible entities to familiarize themselves with the requirements and guidelines for using the Indiana State Tax Exempt Form to ensure they are using it correctly and effectively.
By taking advantage of this form, organizations and individuals can maximize their savings and streamline their purchasing processes, ultimately benefiting their bottom line.
