Last Will And Testament Free Printable Form

39 Last Will And Testament Forms U0026 Templates TemplateLabLast Will And Testament Free Printable Form

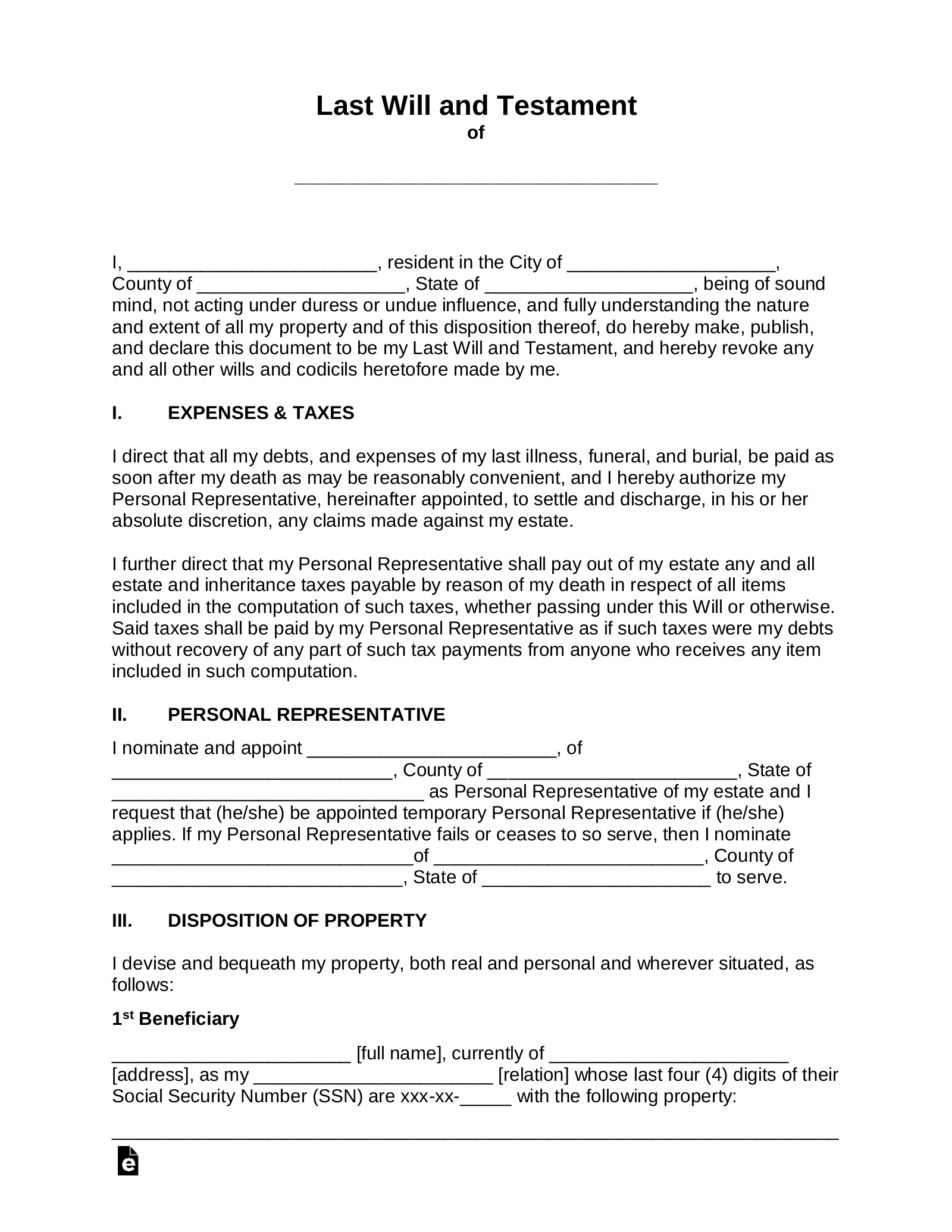
Creating a Last Will and Testament is an important part of estate planning. It allows you to specify how you want your assets to be distributed after your passing. While it is recommended to seek legal advice when creating a Will, there are free printable forms available that can help you get started.

It is important to carefully consider who you want to be the beneficiaries of your Will, as well as who you want to appoint as the executor of your estate. By using a Last Will and Testament free printable form, you can ensure that your wishes are clearly outlined and legally binding.

Last Will And Testament Free Printable Form

Need an practical way to manage paperwork? A Last Will And Testament Free Printable Form is a great option for both everyday and business use. Whether you’re handling job applications, health documents, billing forms, or consent forms, printable forms help streamline the process with convenience.

A printable form allows you to complete important information manually or on a computer before printing. It’s perfect for workplaces, educational settings, and home offices where documentation needs to be clear, consistent, and ready to go.

Download and Print Last Will And Testament Free Printable Form

You can instantly find free, user-friendly templates online in formats like PDF no design skills or apps required. Just get, fill in, and print as many copies as needed.

Take control of your routine processes and avoid wasted time. Choose a versatile form printable today and stay organized, productive, and in control—whether at your house or at work.

Free Printable Last Will And Testament Templates PDF Word Free Printable Last Will And Testament Templates PDF Word

39 Last Will And Testament Forms U0026 Templates TemplateLab39 Last Will And Testament Forms U0026 Templates TemplateLab

39 Last Will And Testament Forms U0026 Templates TemplateLab39 Last Will And Testament Forms U0026 Templates TemplateLab

Free Last Will And Testament Template Templates 2 PDF WordFree Last Will And Testament Template Templates 2 PDF Word

Free Last Will And Testament Will PDF Word EFormsFree Last Will And Testament Will PDF Word EForms

Last Will And Testament Free Printable Form

When using a free printable form for your Will, be sure to fill out all the necessary information accurately. This includes naming your beneficiaries, specifying how you want your assets to be distributed, and appointing an executor to carry out your wishes.

It is also important to review and update your Will regularly, especially after major life events such as marriage, divorce, or the birth of children. By keeping your Will up to date, you can ensure that it accurately reflects your current wishes and circumstances.

While a Last Will and Testament free printable form can be a helpful starting point, it is still recommended to consult with a legal professional to ensure that your Will is legally valid and meets all necessary requirements. An attorney can provide guidance and assistance in creating a comprehensive estate plan that addresses all of your needs and concerns.

By taking the time to create a Last Will and Testament, you can provide peace of mind for yourself and your loved ones. Having a clear and legally binding Will in place can help prevent disputes and confusion over your estate, and ensure that your assets are distributed according to your wishes.

Overall, using a Last Will and Testament free printable form can be a convenient and cost-effective way to begin the estate planning process. However, it is important to seek professional advice to ensure that your Will is legally sound and accurately reflects your wishes.