Last Will And Testament Printable Form Minnesota
Creating a Last Will and Testament is an essential part of estate planning to ensure your wishes are carried out after your passing. In Minnesota, having a legally binding document that outlines how your assets should be distributed can provide peace of mind for you and your loved ones. One convenient option for creating a Will in Minnesota is through the use of a printable form.
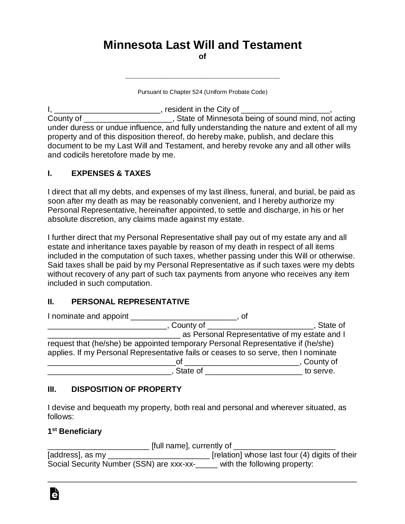
With a Last Will and Testament Printable Form in Minnesota, you can easily fill in the necessary information to create a customized document that reflects your wishes. This form typically includes sections for naming an executor, outlining how your assets should be distributed, and specifying any other instructions you may have for your estate.
Last Will And Testament Printable Form Minnesota
Searching for an practical way to manage paperwork? A Last Will And Testament Printable Form Minnesota is a smart solution for both personal and office use. Whether you’re handling job applications, health documents, invoices, or permission slips, printable form help streamline the process with ease.
A printable forms allows you to enter important information by hand or digitally before printing. It’s ideal for workplaces, educational settings, and remote work where documentation needs to be clear, standardized, and ready to go.
Easily Download and Print Last Will And Testament Printable Form Minnesota
You can quickly find free, customizable templates online in formats like PNG no technical experience or apps required. Just get, fill in, and use as many copies as needed.
Take control of your daily tasks and avoid unnecessary delays. Choose a reliable printable forms today and stay organized, productive, and in charge—whether at your house or at work.
Free Minnesota Last Will And Testament Template PDF Word EForms
Minnesota Will Forms Last Will And Testament Living Will Archives Will Forms Will Forms
Minnesota Last Will And Testament Templates Free Word PDF ODT
Free Minnesota Last Will And Testament PDF Word
Free Minnesota Last Will And Testament Template PDF Word EForms
When using a printable form to create your Will in Minnesota, it is important to ensure that the document complies with state laws and regulations. It is recommended to seek legal advice or assistance from an attorney to review your Will and make sure it meets all necessary requirements to be considered valid.
By utilizing a Last Will and Testament Printable Form in Minnesota, you can save time and money compared to hiring an attorney to draft a Will from scratch. This option can be especially beneficial for those with straightforward estate planning needs and a desire to create a simple Will.
Ultimately, creating a Last Will and Testament is a crucial step in planning for the future and ensuring that your assets are distributed according to your wishes. Whether you choose to use a printable form or seek professional legal assistance, having a Will in place can provide clarity and peace of mind for you and your loved ones.
In conclusion, a Last Will and Testament Printable Form in Minnesota can be a convenient and cost-effective option for creating a customized Will that reflects your wishes. By taking the time to create a Will, you can ensure that your assets are distributed according to your wishes and provide peace of mind for yourself and your loved ones.