Creating a living will is an important step in ensuring that your wishes are respected in the event that you are unable to make decisions about your medical care. A living will is a legal document that outlines your preferences for medical treatment in case you become incapacitated or unable to communicate. It allows you to specify the type of care you want to receive or not receive, such as life-saving measures or end-of-life care.
Having a living will in place can provide peace of mind to both you and your loved ones, knowing that your wishes will be honored. It can also help alleviate any potential conflicts or confusion among family members or healthcare providers during a difficult time.
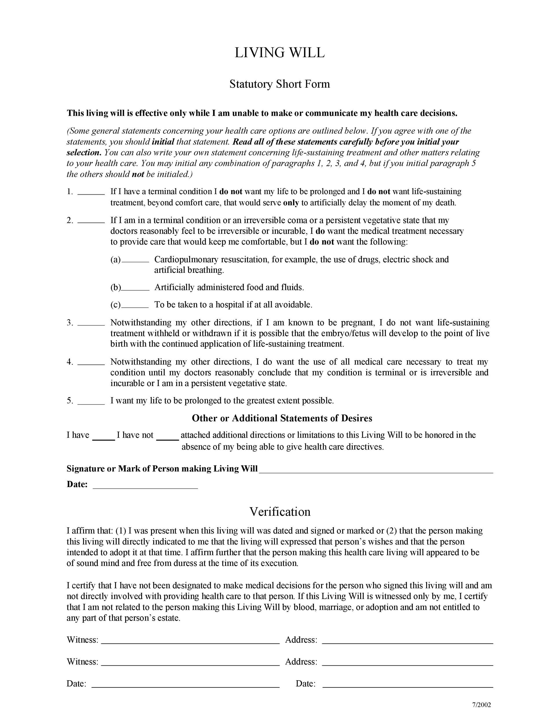
Living Will Printable Form
Searching for an practical way to manage paperwork? A free printable form is a great option for both personal and office use. Whether you’re handling employment forms, medical records, invoices, or permission slips, free printable form help save time with convenience.
A free printable form allows you to complete important information by hand or on a computer before printing. It’s perfect for offices, schools, and virtual setups where documentation needs to be organized, consistent, and ready to go.
Download and Print Living Will Printable Form
You can instantly find free, customizable templates online in formats like Jpeg no design skills or software required. Just download, fill in, and use as many copies as needed.
Start simplifying your routine processes and avoid unnecessary delays. Choose a versatile printable form today and stay organized, productive, and in control—whether at home or at work.
Free Living Will Template With Sample PDF Word LawDistrict
Living Will Printable Forms Printable Forms Free Online
Living Will Forms Free Printable Pdf
Free Living Will Printable Forms Printable Templates
Free Living Will Form Health Care Directive PDF Word EForms
When creating a living will, it is important to use a printable form that is legally valid in your state. These forms can be easily found online and are typically straightforward to fill out. It is recommended to review and update your living will periodically to ensure that it accurately reflects your current wishes.
Before completing a living will printable form, it is important to carefully consider your preferences for medical care and discuss them with your family and healthcare providers. You may also want to consult with an attorney or healthcare professional to ensure that your living will meets all legal requirements in your state.
Once you have completed and signed your living will, it is important to distribute copies to your healthcare providers, family members, and anyone else who may be involved in your care. It is also a good idea to keep a copy of your living will in a safe and easily accessible place, such as with your medical records.
In conclusion, a living will printable form is a valuable tool for expressing your wishes regarding medical treatment and ensuring that they are carried out in the event of incapacity. By taking the time to create a living will, you can have peace of mind knowing that your preferences will be respected and your loved ones will be spared from making difficult decisions on your behalf.
