Microsoft Word Printable Simple Last Will And Testament Forms
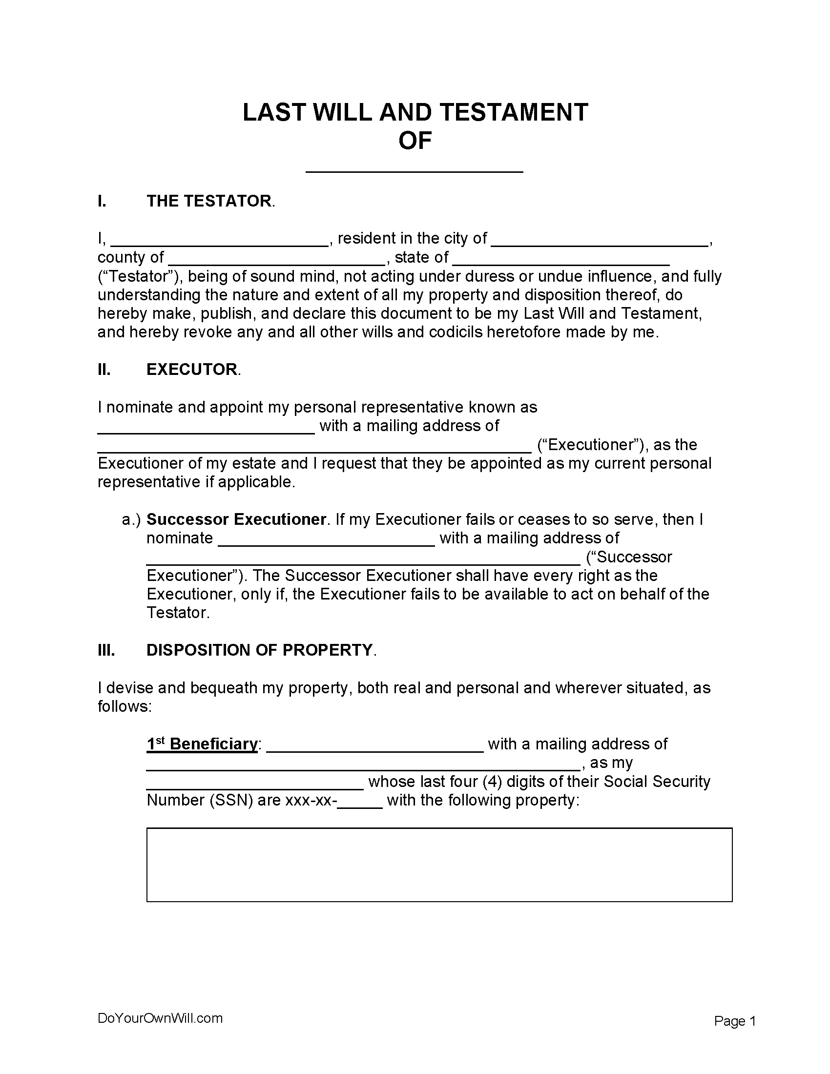
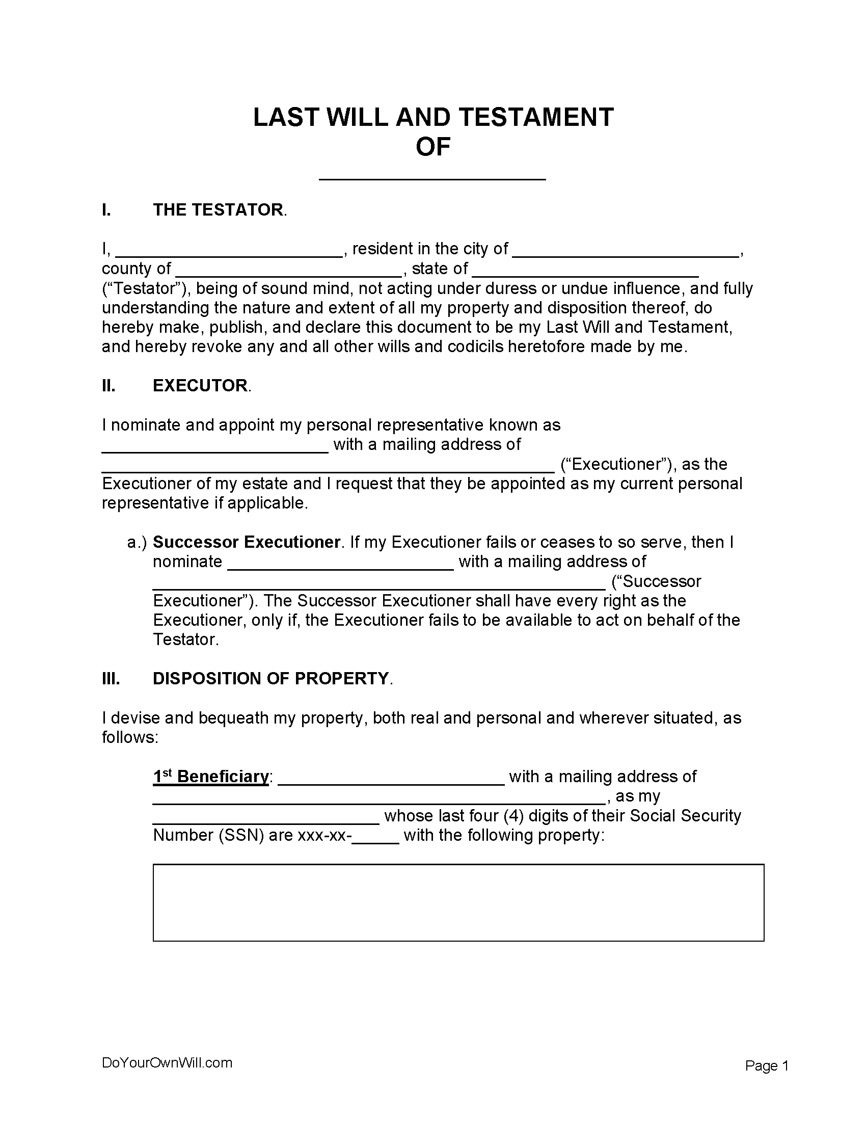
Creating a last will and testament is an important step in ensuring that your final wishes are carried out and your assets are distributed according to your wishes. Microsoft Word offers simple and easy-to-use templates for creating printable last will and testament forms that can help you get started on this important document.
With Microsoft Word, you can easily customize the template to fit your specific needs and preferences. Whether you want to designate beneficiaries, specify how your assets should be divided, or appoint guardians for your children, the printable forms available in Word can help you create a legally binding document that reflects your wishes.
Microsoft Word Printable Simple Last Will And Testament Forms
Searching for an easy way to handle documents? A form printable is a smart solution for both personal and professional use. Whether you’re handling employment forms, health documents, invoices, or permission slips, printable form help streamline the process with ease.
A printable forms allows you to fill out important information manually or digitally before printing. It’s perfect for workplaces, schools, and home offices where documentation needs to be organized, standardized, and immediately usable.
Get and Print Microsoft Word Printable Simple Last Will And Testament Forms
You can instantly find free, user-friendly templates online in formats like PDF no design skills or software required. Just get, fill in, and use as many copies as needed.
Begin streamlining your routine processes and avoid paperwork headaches. Choose a reliable free printable form today and stay on track, productive, and in charge—whether at your house or at the office.
39 Last Will And Testament Forms U0026 Templates TemplateLab
Free Printable Last Will And Testament Templates PDF Word
39 Last Will And Testament Forms U0026 Templates TemplateLab
Free Last Will And Testament Form PDF WORD ODT
Free Last Will And Testament Template Templates 2 PDF Word
These simple last will and testament forms can be easily accessed and downloaded from the Microsoft Word website. Once you have downloaded the template, you can fill in the necessary information, including your name, the names of your beneficiaries, and any specific instructions you may have regarding the distribution of your assets.
It is important to remember that while these printable forms can be a helpful starting point, it is always recommended to consult with a legal professional to ensure that your last will and testament complies with state laws and accurately reflects your wishes. An attorney can provide guidance and advice on the specific language and provisions that should be included in your will to avoid any potential disputes or challenges in the future.
By using Microsoft Word printable simple last will and testament forms, you can take the first step towards creating a comprehensive and legally binding document that will provide you with peace of mind knowing that your final wishes will be carried out as intended.
Take advantage of the user-friendly templates available in Microsoft Word to create your last will and testament today, and ensure that your loved ones are taken care of according to your wishes.