Printable Legal Florida Last Will And Testament Form
Creating a last will and testament is an important step in ensuring that your assets are distributed according to your wishes after you pass away. In the state of Florida, having a legally valid will is crucial to avoid any confusion or disputes among your loved ones. Fortunately, there are printable legal Florida last will and testament forms available that can help you draft a comprehensive document that reflects your intentions.
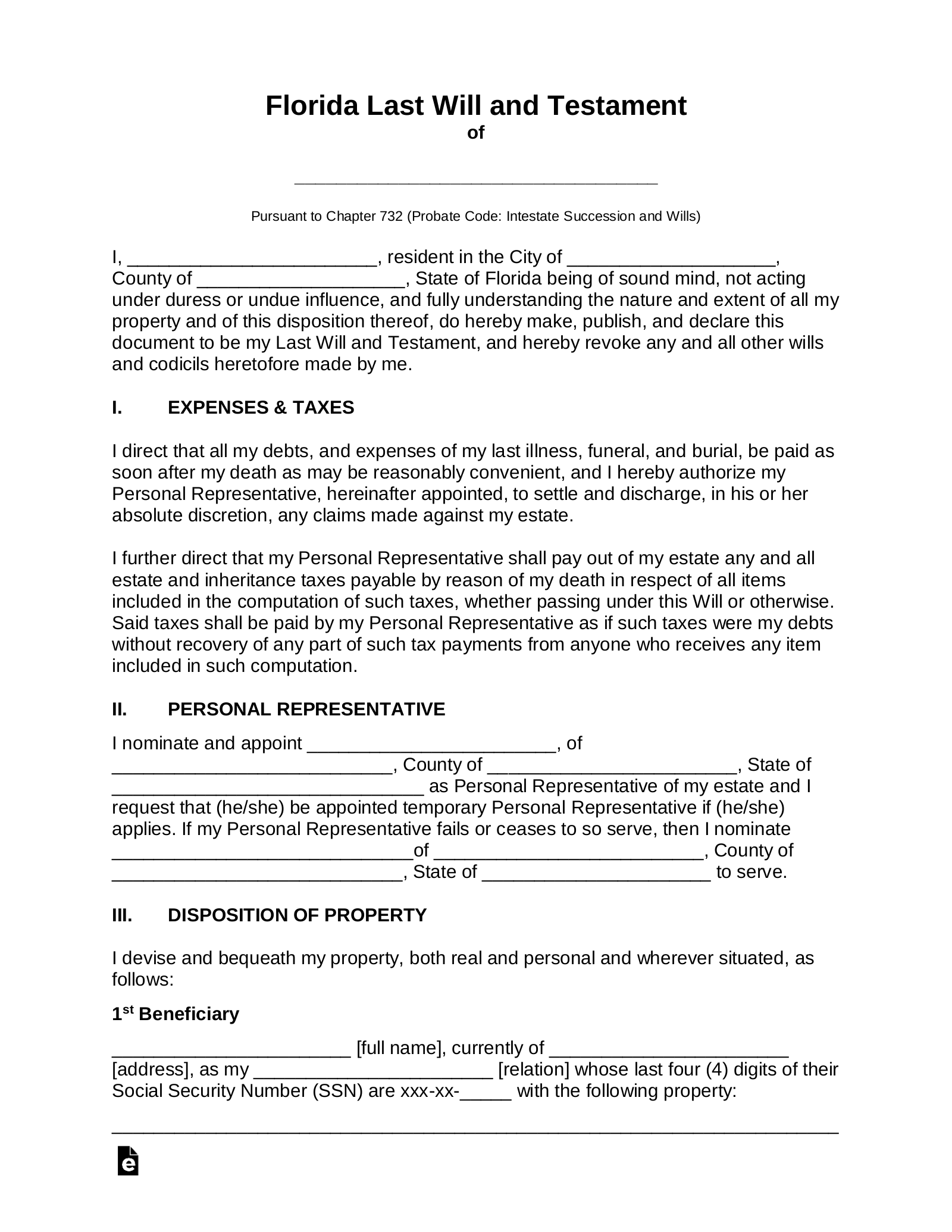
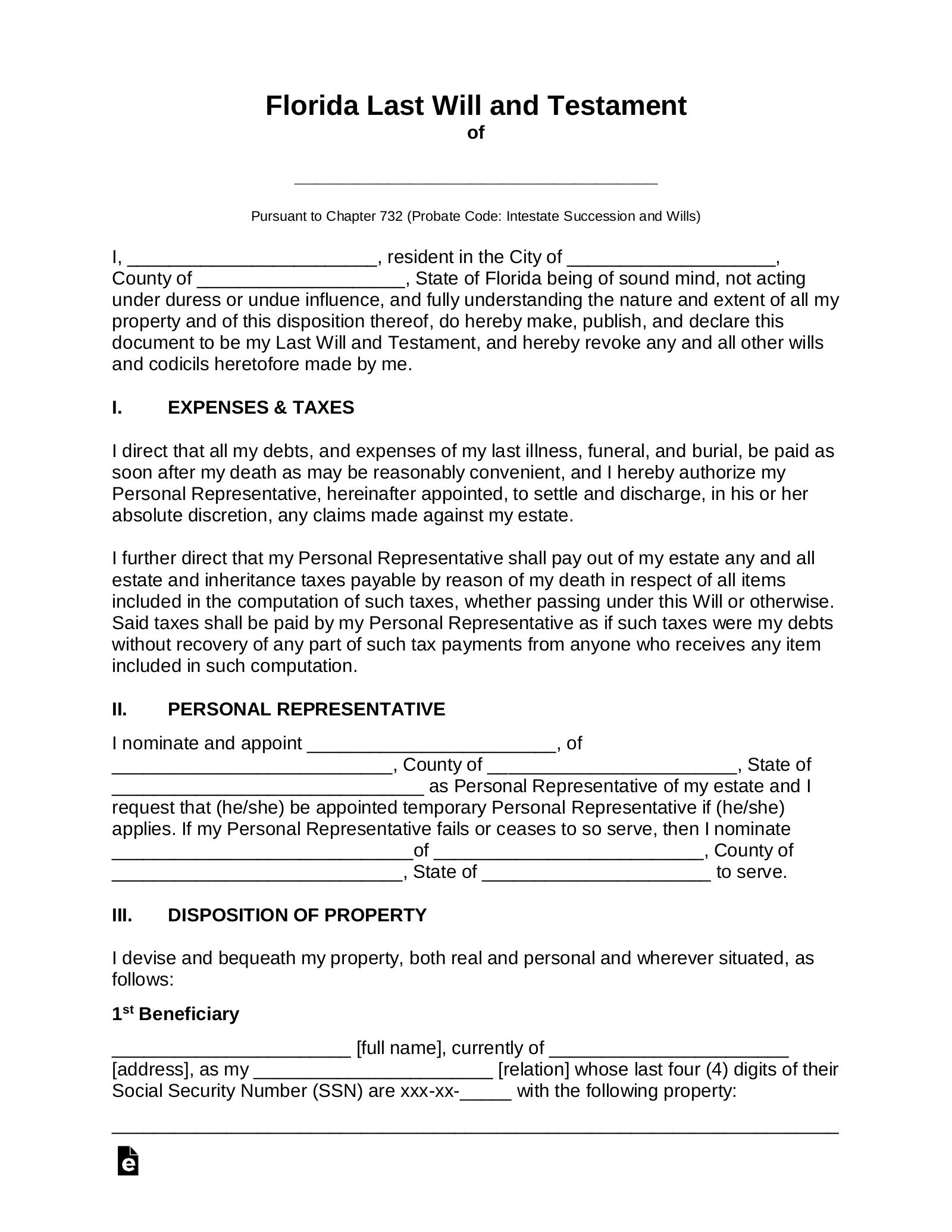
These printable forms are designed to guide you through the process of creating a will that complies with Florida state laws. They include all the necessary sections and clauses to cover various aspects of your estate, such as naming beneficiaries, appointing an executor, and specifying funeral arrangements. By using a printable legal Florida last will and testament form, you can ensure that your final wishes are clearly outlined and legally binding.
Printable Legal Florida Last Will And Testament Form
Need an efficient way to organize forms? A printable form is a great option for both personal and business use. Whether you’re handling job applications, medical records, invoices, or permission slips, Printable Legal Florida Last Will And Testament Form help streamline the process with convenience.
A printable forms allows you to complete important information manually or on a computer before printing. It’s ideal for offices, schools, and remote work where documentation needs to be clear, standardized, and immediately usable.
Download and Print Printable Legal Florida Last Will And Testament Form
You can quickly find free, editable templates online in formats like Jpeg no technical experience or apps required. Just get, fill in, and use as many copies as needed.
Begin streamlining your routine processes and avoid wasted time. Choose a professional Printable Legal Florida Last Will And Testament Form today and stay efficient, productive, and in charge—whether at home or at work.
Free Florida Last Will And Testament Form CocoSign
Florida Last Will And Testament Templates Free Word PDF ODT
Florida Will Forms Last Will And Testament Living Will Archives Will Forms Will Forms
Free Florida Last Will And Testament Form CocoSign
Free Florida Last Will And Testament Template PDF Word EForms
When filling out a printable legal Florida last will and testament form, it is important to carefully review each section and provide accurate information. You may also want to consult with an attorney to ensure that your will is properly executed and meets all legal requirements. Additionally, it is recommended to regularly update your will to reflect any changes in your circumstances or wishes.
By taking the time to create a last will and testament using a printable legal form, you can have peace of mind knowing that your assets will be distributed according to your wishes. Whether you have a large estate or just a few possessions, having a will in place can help prevent any confusion or disagreements among your loved ones. It is a proactive step towards ensuring that your legacy is preserved and your affairs are handled as you intended.
In conclusion, a printable legal Florida last will and testament form is a valuable tool for anyone looking to create a comprehensive estate plan. By using this form, you can easily draft a legally binding document that reflects your final wishes and ensures that your loved ones are taken care of after you pass away. Don’t wait until it’s too late – take the time to create a will today and provide peace of mind for yourself and your family.