Non-disclosure agreements (NDAs) are essential legal documents that protect sensitive information shared between parties. These agreements establish a confidential relationship and outline the terms and conditions regarding the use and disclosure of the information. In today’s competitive business environment, NDAs are crucial for safeguarding trade secrets, proprietary data, and other valuable assets.
One convenient option for creating an NDA is to use a printable NDA agreement. This type of document can be easily customized to suit the specific needs of the parties involved. Printable NDAs are user-friendly and can be quickly filled out and signed, making them a practical solution for businesses and individuals looking to protect their confidential information.
Printable Nda Agreement
Searching for an easy way to handle documents? A free printable form is a reliable tool for both personal and professional use. Whether you’re handling job applications, health documents, invoices, or consent forms, free printable form help streamline the process with ease.
A printable form allows you to enter important information by hand or digitally before printing. It’s excellent for workplaces, schools, and remote work where documentation needs to be clear, consistent, and ready to go.
Download and Print Printable Nda Agreement
You can quickly find no-cost, editable templates online in formats like Jpg no technical experience or apps required. Just download, fill in, and use as many copies as needed.
Begin streamlining your form-filling needs and avoid unnecessary delays. Choose a professional free printable form today and stay on track, productive, and in control—whether at home or at work.
Non Disclosure Agreement NDA Template Sample
Free Printable Non Disclosure Agreement Form Printable Forms Free Online
Printable Non Disclosure Agreement Template Printable Templates Your
Free Non Disclosure Agreement NDA Template PDF Word
Free Non Disclosure Agreement NDA Templates 21 PDF Word EForms
Printable NDA Agreement
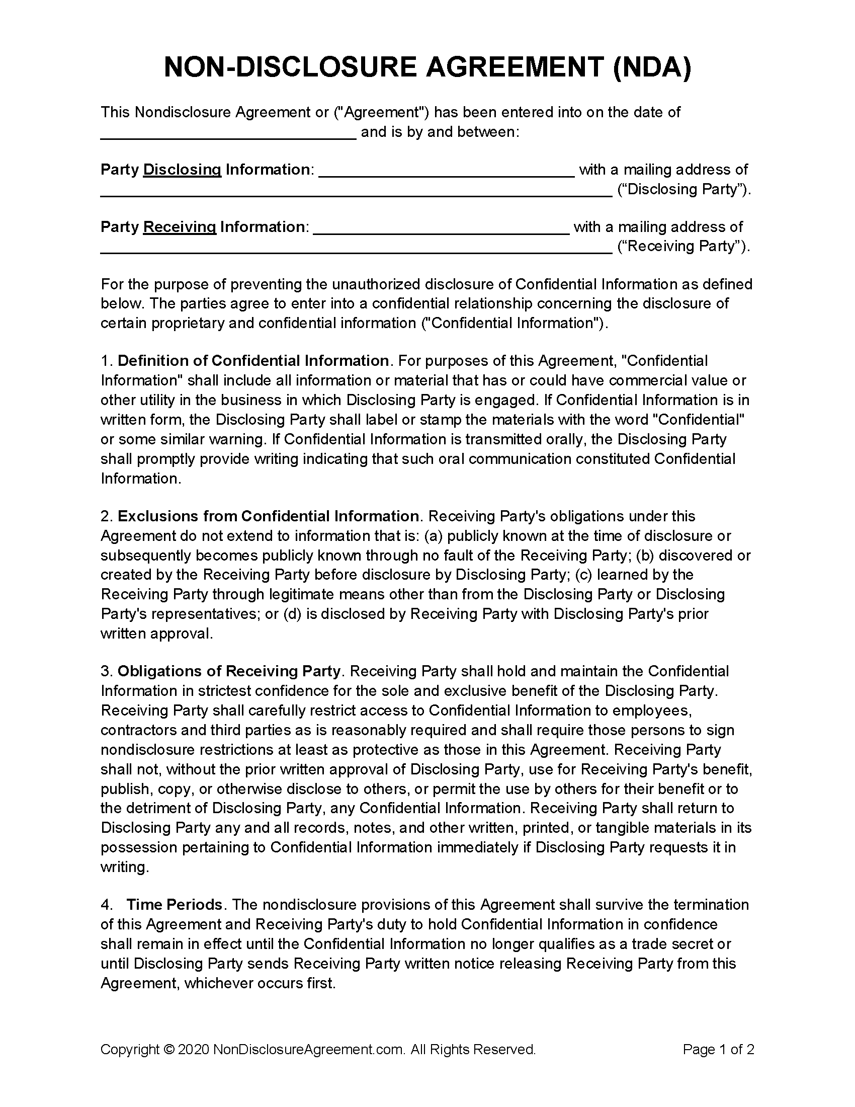
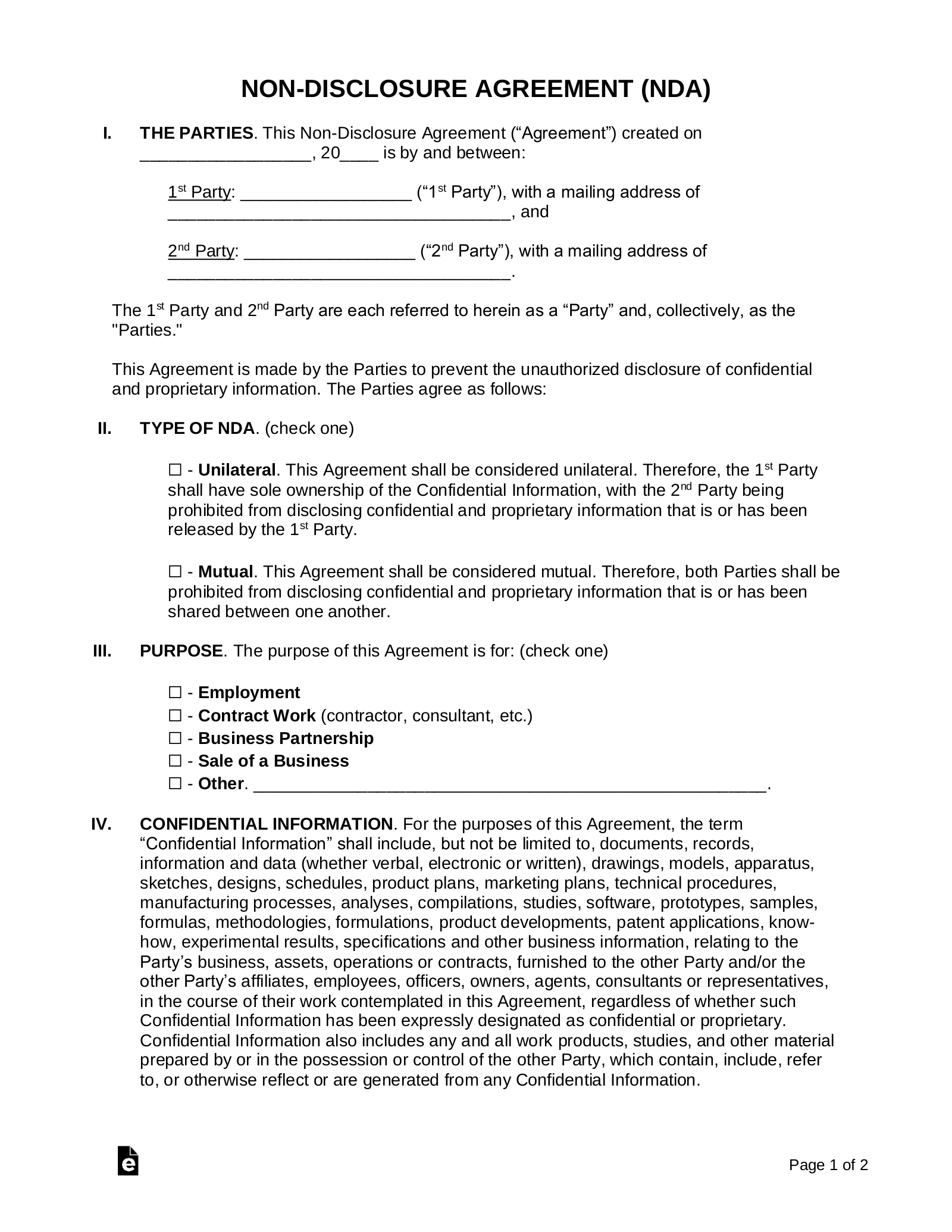
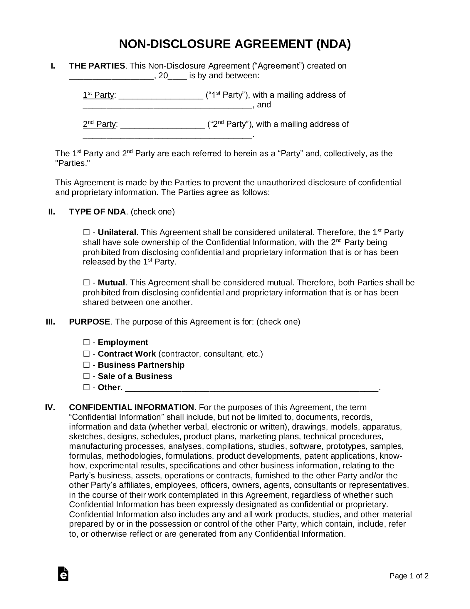
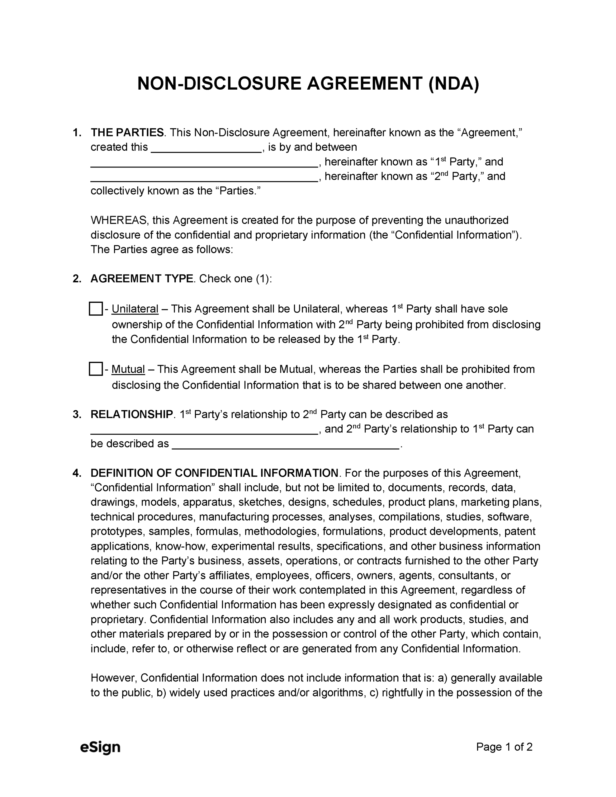
When using a printable NDA agreement, it is important to include all the necessary details to ensure that the document is legally binding. This includes specifying the parties involved, clearly defining the confidential information being shared, outlining the purpose of the agreement, and setting forth the terms of confidentiality.
Additionally, printable NDAs should include provisions for how long the agreement will remain in effect, the consequences of breaching the agreement, and any exceptions to the confidentiality obligations. By including these key elements, parties can ensure that their confidential information is adequately protected.
Printable NDAs offer a convenient and cost-effective way to establish confidentiality agreements without the need for expensive legal fees or complicated paperwork. These documents can be easily accessed online, downloaded, and customized to meet the specific requirements of the parties involved.
Overall, printable NDAs are a valuable tool for protecting sensitive information and maintaining a competitive edge in today’s business world. By using these agreements, parties can establish clear expectations regarding the use and disclosure of confidential information, ultimately fostering trust and collaboration between parties.
In conclusion, printable NDAs are a practical and efficient way to establish confidentiality agreements and protect valuable information. By utilizing these documents, parties can safeguard their trade secrets and proprietary data, enabling them to conduct business with confidence and security.
