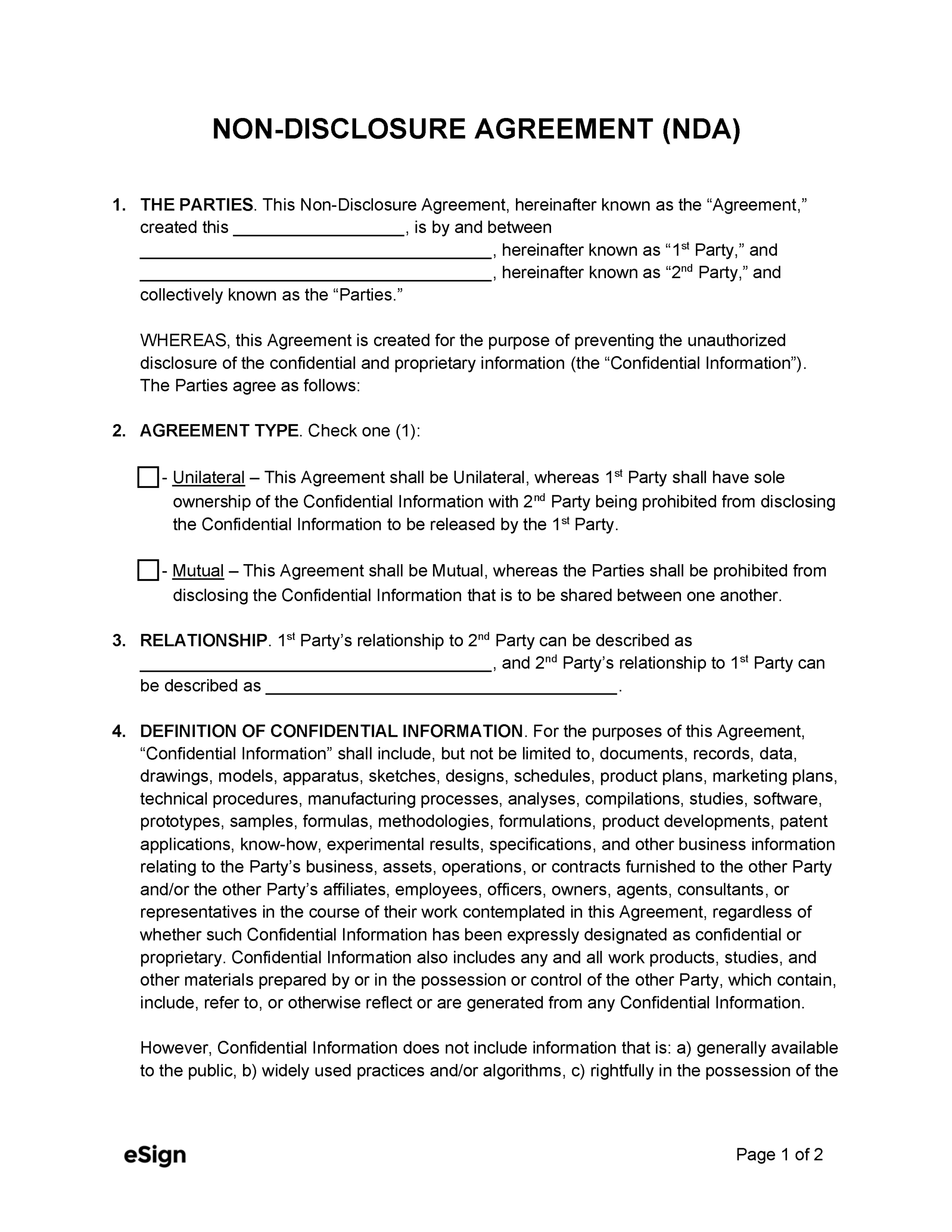
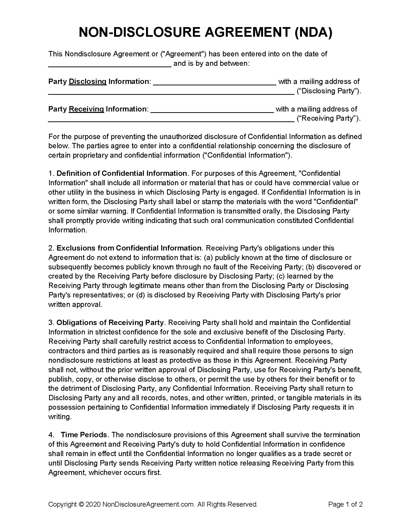
Printable Non Disclosure Agreement

40 Non Disclosure Agreement Templates Samples Forms Template LabPrintable Non Disclosure Agreement

When it comes to protecting sensitive information and trade secrets, a Non Disclosure Agreement (NDA) is a crucial legal document. This agreement establishes a confidential relationship between the parties involved and ensures that any proprietary information shared remains confidential. In many cases, having a signed NDA in place can provide peace of mind and legal protection for all parties.

Printable NDAs are convenient and efficient tools for businesses and individuals to use when confidentiality is of utmost importance. By having a printable NDA on hand, parties can quickly draft, customize, and sign the agreement without the need for extensive legal assistance. This makes the process of establishing confidentiality agreements simpler and more accessible for all involved.

Printable Non Disclosure Agreement

Need an practical way to organize forms? A Printable Non Disclosure Agreement is a reliable tool for both everyday and business use. Whether you’re handling job applications, health documents, billing forms, or consent forms, printable form help streamline the process with ease.

A printable form allows you to fill out important information manually or digitally before printing. It’s perfect for workplaces, educational settings, and virtual setups where documentation needs to be clear, consistent, and ready to go.

Quickly Access and Print Printable Non Disclosure Agreement

You can instantly find free, editable templates online in formats like Adobe PDF no design skills or apps required. Just download, complete, and print as many copies as needed.

Start simplifying your daily tasks and avoid unnecessary delays. Choose a professional printable form today and stay on track, focused, and in charge—whether at home or at work.

Non Disclosure Agreement Template Free Word TemplatesNon Disclosure Agreement Template Free Word Templates

Free Non Disclosure Agreement NDA Template PDF WordFree Non Disclosure Agreement NDA Template PDF Word

40 Non Disclosure Agreement Templates Samples Forms Template Lab40 Non Disclosure Agreement Templates Samples Forms Template Lab

40 Non Disclosure Agreement Templates Samples Forms TemplateLab40 Non Disclosure Agreement Templates Samples Forms TemplateLab

Non Disclosure Agreement Template Free Word TemplatesNon Disclosure Agreement Template Free Word Templates

One key benefit of using a printable NDA is the ability to tailor the agreement to the specific needs of the parties involved. Whether it’s for a business partnership, employee agreement, or vendor relationship, a customizable NDA allows for the inclusion of specific clauses and terms that are relevant to the situation at hand. This flexibility ensures that the agreement is comprehensive and addresses all pertinent issues related to confidentiality.

Another advantage of printable NDAs is the ease of distribution and storage. Once the agreement is filled out and signed, it can be easily shared with all parties involved either in hard copy or electronic format. Additionally, printable NDAs can be stored digitally for safekeeping and easy access whenever needed. This convenience makes it simple for parties to refer back to the agreement in case of any disputes or breaches of confidentiality.

In conclusion, printable Non Disclosure Agreements are invaluable tools for safeguarding sensitive information and maintaining confidentiality in various business relationships. By utilizing a printable NDA, parties can establish clear expectations regarding the protection of proprietary information and have a legally binding document in place to enforce these terms. With the convenience and flexibility of printable NDAs, businesses and individuals can ensure that their confidential information remains secure and protected.