Printable Power Of Attorney Form

50 Free Power Of Attorney Forms Templates Durable Medical General Printable Power Of Attorney Form

Power of Attorney (POA) is a legal document that allows a person to designate another individual to make important decisions on their behalf. This document can be crucial in situations where someone becomes incapacitated or unable to make decisions for themselves. Having a POA in place can provide peace of mind and ensure that your affairs are handled according to your wishes.

When it comes to creating a Power of Attorney, having a printable form can make the process much easier. With a printable form, you can quickly fill in the necessary information and have a legally binding document ready to go in no time. This can be especially helpful in emergency situations or when time is of the essence.

Printable Power Of Attorney Form

Need an efficient way to handle documents? A printable forms is a smart solution for both personal and business use. Whether you’re handling employment forms, health documents, billing forms, or consent forms, form printable help streamline the process with convenience.

A printable form allows you to fill out important information by hand or digitally before printing. It’s perfect for offices, schools, and virtual setups where documentation needs to be organized, consistent, and ready to go.

Easily Download and Print Printable Power Of Attorney Form

You can quickly find complimentary, editable templates online in formats like PNG no design skills or software required. Just download, complete, and print as many copies as needed.

Begin streamlining your form-filling needs and avoid unnecessary delays. Choose a professional printable forms today and stay on track, focused, and in control—whether at home or at the office.

Printable Power Of Attorney FormPrintable Power Of Attorney Form

50 Free Power Of Attorney Forms Templates Durable Medical General 50 Free Power Of Attorney Forms Templates Durable Medical General

50 Free Power Of Attorney Forms Templates Durable Medical General 50 Free Power Of Attorney Forms Templates Durable Medical General

50 Free Power Of Attorney Forms Templates Durable Medical General 50 Free Power Of Attorney Forms Templates Durable Medical General

50 Free Power Of Attorney Forms Templates Durable Medical General 50 Free Power Of Attorney Forms Templates Durable Medical General

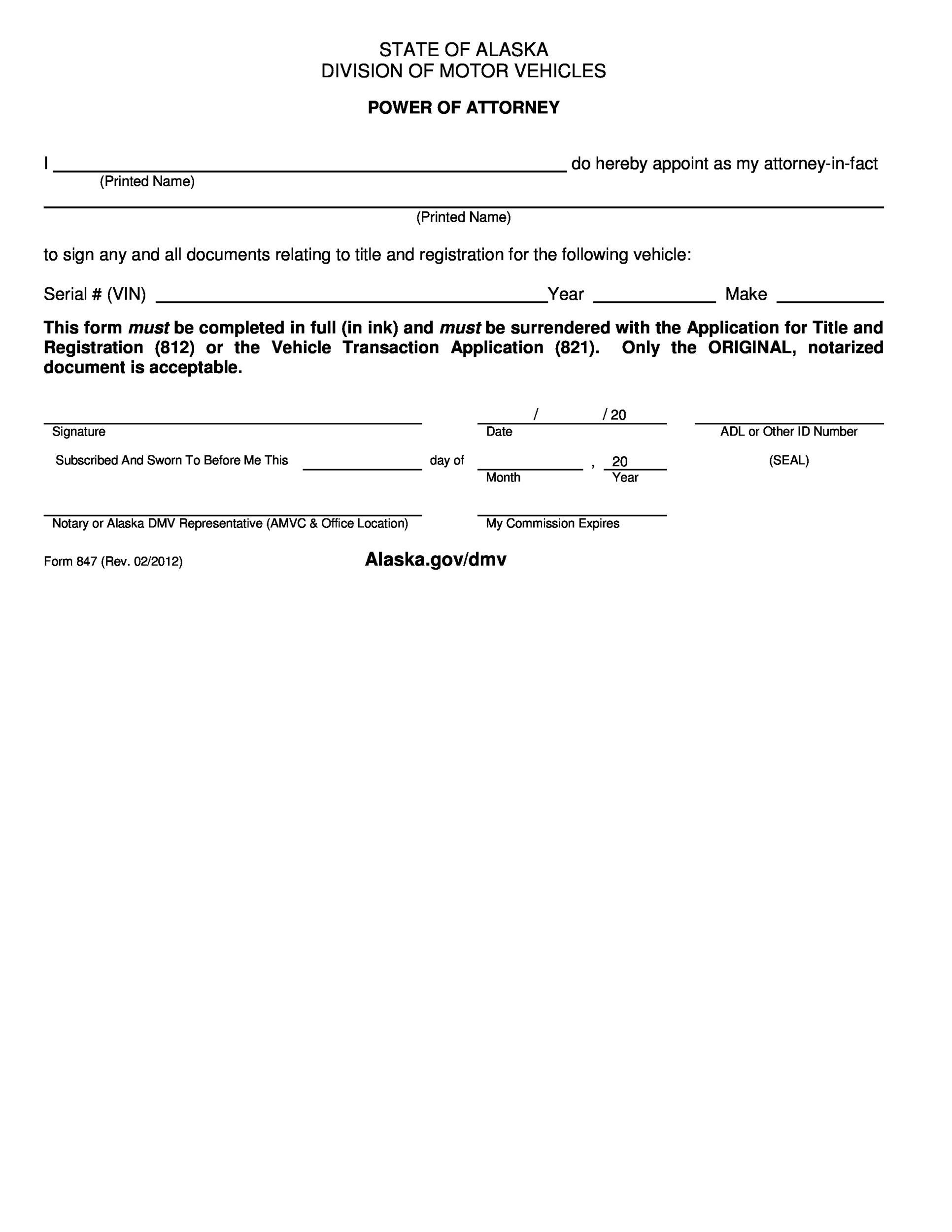
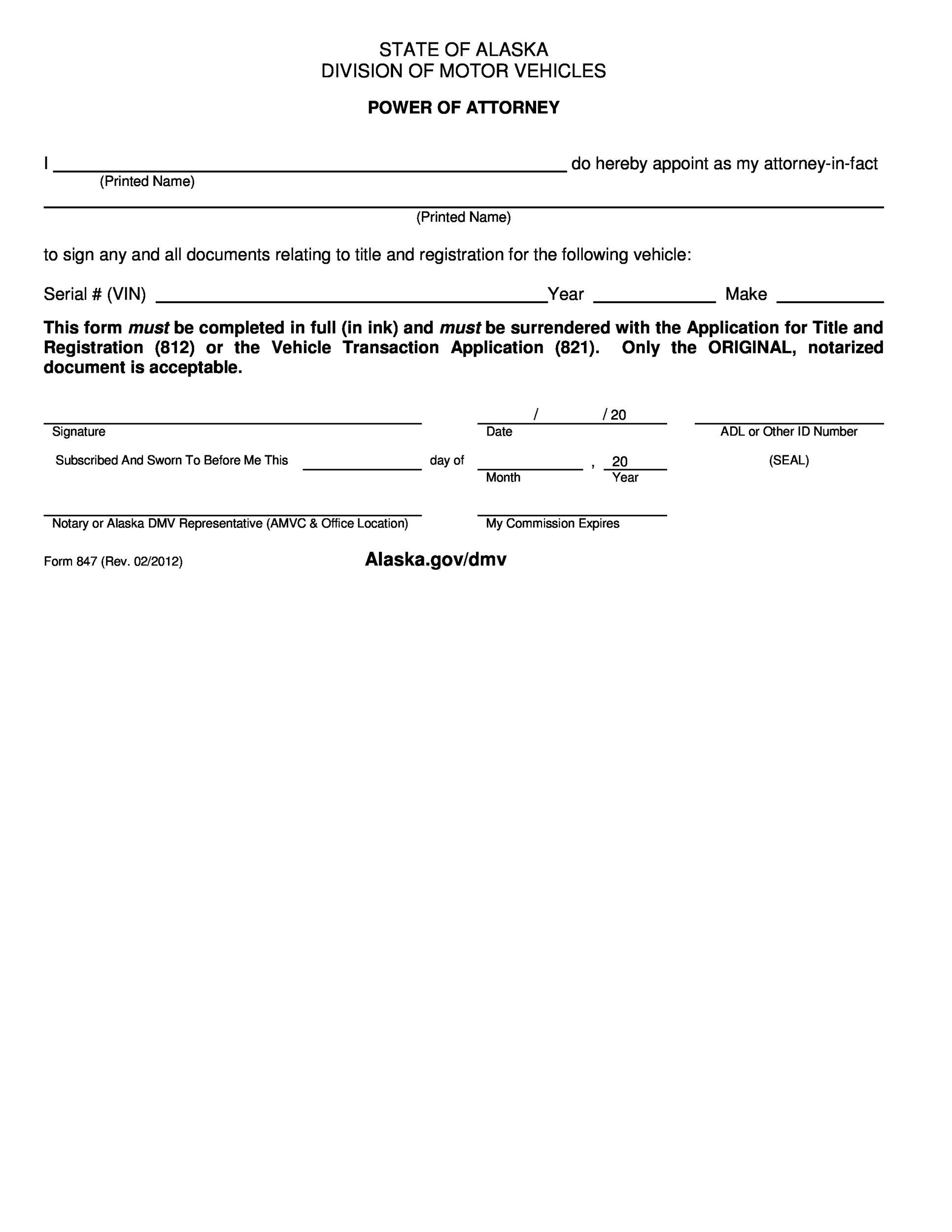
There are different types of Power of Attorney forms, each serving a specific purpose. A General Power of Attorney grants broad powers to the designated individual, allowing them to handle a wide range of financial and legal matters on your behalf. A Limited Power of Attorney, on the other hand, only grants specific powers for a limited time or purpose.

Creating a Power of Attorney form involves specifying the powers you want to grant, naming the designated individual (known as the “attorney-in-fact”), and signing the document in the presence of witnesses or a notary public. It’s important to carefully consider who you choose as your attorney-in-fact and to clearly outline their powers and limitations in the document.

Having a Printable Power of Attorney form on hand can be a valuable resource for individuals who want to ensure that their affairs are in order. Whether you are planning for the future or facing a sudden emergency, having a POA in place can provide you with the peace of mind that your interests will be protected and your wishes will be carried out.

In conclusion, a Printable Power of Attorney form is a convenient and efficient way to create a legally binding document that allows someone to make decisions on your behalf. By carefully considering your options and filling out the form correctly, you can ensure that your affairs are handled according to your wishes.