West Firginia State Incom Tax Form 2016 Printable

W2 Tax Forms Copy C 2 For Employees DiscountTaxFormsWest Firginia State Incom Tax Form 2016 Printable

When it comes to filing your state income taxes in West Virginia, having the necessary forms is crucial. The West Virginia State Income Tax Form 2016 Printable is a convenient tool that allows taxpayers to easily fill out and submit their tax information. This form is specifically designed for the tax year 2016 and includes all the necessary fields for reporting income, deductions, and credits.

By using the West Virginia State Income Tax Form 2016 Printable, taxpayers can ensure that they are accurately reporting their income and taking advantage of any available deductions or credits. This form simplifies the tax filing process and helps individuals and businesses comply with state tax laws.

West Firginia State Incom Tax Form 2016 Printable

Looking for an practical way to handle documents? A printable forms is a smart solution for both individual and business use. Whether you’re handling job applications, health documents, invoices, or consent forms, form printable help save time with convenience.

A printable form allows you to enter important information manually or on a computer before printing. It’s excellent for offices, schools, and home offices where documentation needs to be clear, consistent, and ready to go.

Download and Print West Firginia State Incom Tax Form 2016 Printable

You can easily find no-cost, editable templates online in formats like PDF no design skills or apps required. Just get, complete, and use as many copies as needed.

Start simplifying your routine processes and avoid paperwork headaches. Choose a versatile West Firginia State Incom Tax Form 2016 Printable today and stay on track, focused, and in control—whether at home or at the office.

1099G Form For Government Payments DiscountTaxForms1099G Form For Government Payments DiscountTaxForms

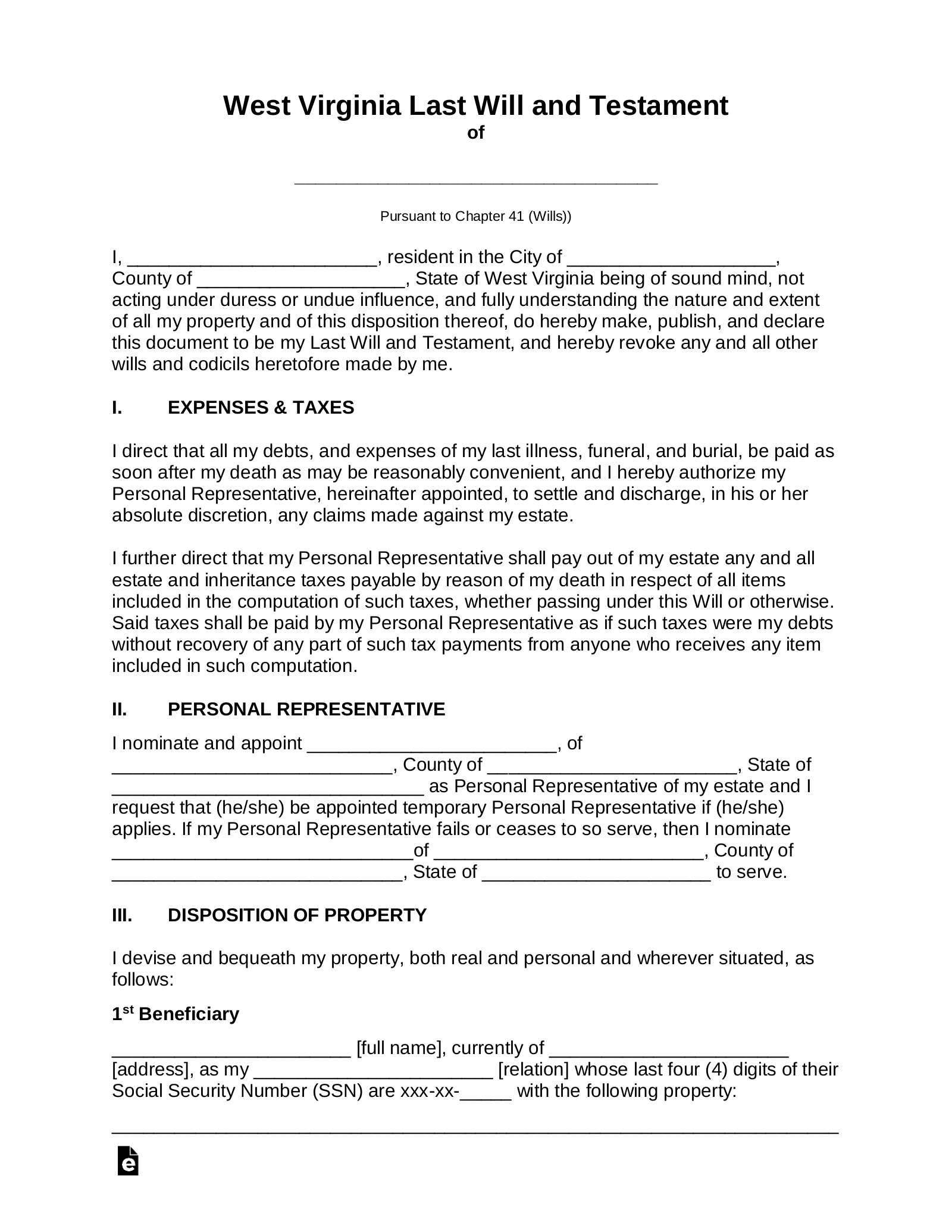
Free West Virginia Last Will And Testament Template PDF Word EFormsFree West Virginia Last Will And Testament Template PDF Word EForms

Form WV IT 103 Fill Out Sign Online And Download Printable PDF West Virginia TemplaterollerForm WV IT 103 Fill Out Sign Online And Download Printable PDF West Virginia Templateroller

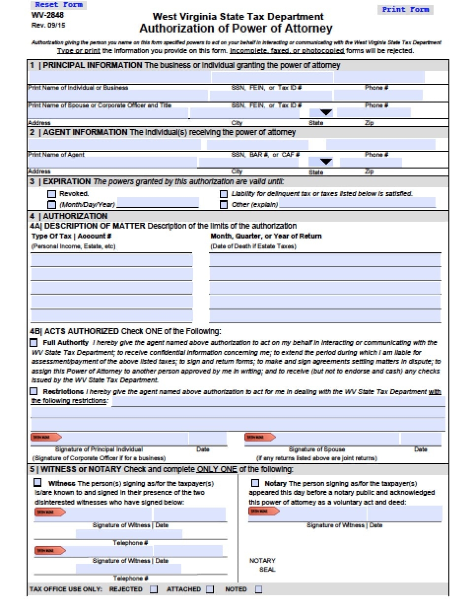
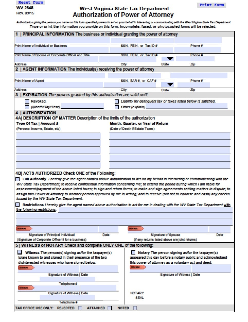
West Virginia Tax Power Of Attorney Form Power Of Attorney Power Of AttorneyWest Virginia Tax Power Of Attorney Form Power Of Attorney Power Of Attorney

Form WV CNF 120ES Fill Out Sign Online And Download Printable PDF West Virginia TemplaterollerForm WV CNF 120ES Fill Out Sign Online And Download Printable PDF West Virginia Templateroller

When filling out the form, taxpayers should carefully review the instructions provided and gather all necessary documentation, such as W-2 forms, 1099s, and receipts for deductible expenses. It is important to double-check all entries before submitting the form to avoid any errors or delays in processing.

Once the form is completed, taxpayers can either file electronically or mail a hard copy to the West Virginia Department of Revenue. Electronic filing is generally faster and more secure, but some individuals may prefer to mail in their forms for convenience or personal preference.

Overall, the West Virginia State Income Tax Form 2016 Printable is a valuable resource for taxpayers in the state. By using this form, individuals and businesses can ensure that they are in compliance with state tax laws and maximize their tax savings. It is important to file your taxes accurately and on time to avoid penalties or interest charges.

So, if you need to file your state income taxes for the tax year 2016 in West Virginia, be sure to download and use the West Virginia State Income Tax Form 2016 Printable. This form will make the tax filing process easier and more efficient, allowing you to meet your tax obligations without unnecessary stress or confusion.