Blank Printable Form New York Last Will And Testament

New York Last Will And Testament Free Template Form Blank Printable Form New York Last Will And Testament

Creating a Last Will and Testament is an important step in ensuring that your final wishes are carried out. In the state of New York, having a legally valid will can help prevent disputes among family members and ensure that your assets are distributed according to your wishes.

One way to make the process of creating a will easier is by using a blank printable form. These forms provide a template for you to fill in your information and preferences, making it easier to create a personalized will that meets all legal requirements.

Blank Printable Form New York Last Will And Testament

Need an practical way to organize forms? A free printable form is a great option for both personal and office use. Whether you’re handling job applications, medical records, invoices, or permission slips, free printable form help simplify tasks with ease.

A printable form allows you to fill out important information by hand or on a computer before printing. It’s perfect for offices, schools, and virtual setups where documentation needs to be organized, standardized, and immediately usable.

Save and Print Blank Printable Form New York Last Will And Testament

You can easily find free, user-friendly templates online in formats like Jpg no design skills or software required. Just get, fill in, and use as many copies as needed.

Take control of your form-filling needs and avoid paperwork headaches. Choose a professional printable forms today and stay on track, focused, and in charge—whether at your house or at the office.

New York Last Will And Testament Template In Google Docs Word Download TemplateNew York Last Will And Testament Template In Google Docs Word Download Template

Last Will And Testament Editable Last Will And Testament Template Printable Last Will And Testament Form PDF Instant Download Digital EtsyLast Will And Testament Editable Last Will And Testament Template Printable Last Will And Testament Form PDF Instant Download Digital Etsy

Free New York Last Will And Testament Template CocoSignFree New York Last Will And Testament Template CocoSign

New York Last Will And Testament Templates Free Word PDF ODT New York Last Will And Testament Templates Free Word PDF ODT

Free New York Last Will And Testament Form PDF WORD ODTFree New York Last Will And Testament Form PDF WORD ODT

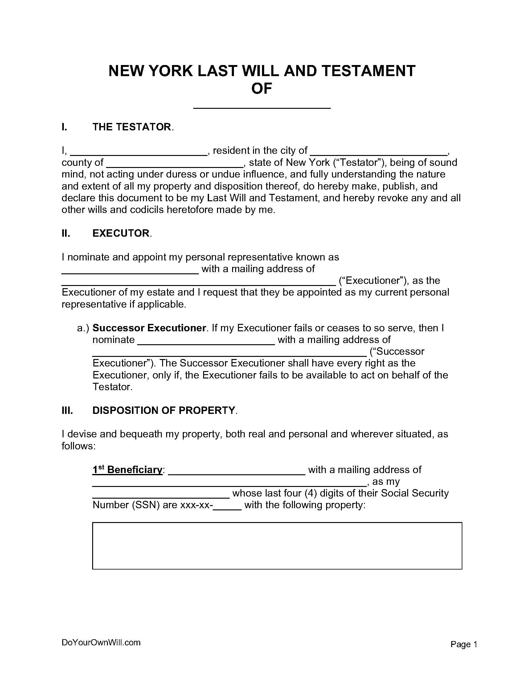
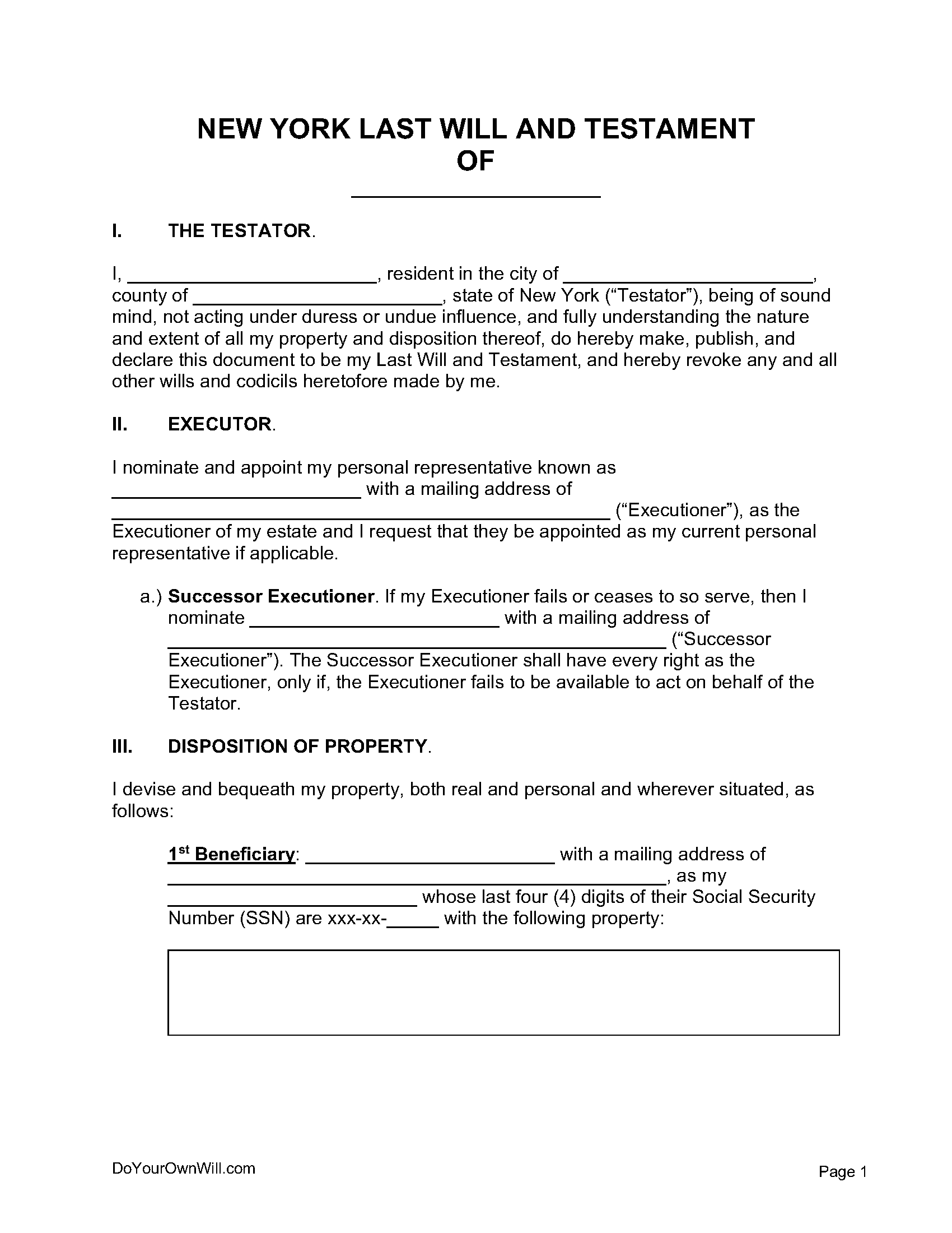
When using a Blank Printable Form New York Last Will And Testament, it is important to carefully consider all aspects of your estate. You will need to designate beneficiaries, specify how your assets should be distributed, and appoint an executor to carry out your wishes.

Additionally, you can use the form to outline any specific instructions you have regarding funeral arrangements, charitable donations, or guardianship of minor children. By clearly stating your intentions in a legally binding document, you can help avoid confusion and potential conflicts after you pass away.

It is important to review and update your will periodically to ensure that it reflects your current circumstances and wishes. Life events such as marriage, divorce, birth of children, or acquisition of new assets may necessitate changes to your will. By keeping your will up to date, you can ensure that your wishes are accurately reflected and legally binding.

In conclusion, using a Blank Printable Form New York Last Will And Testament can simplify the process of creating a will and ensure that your final wishes are carried out. By carefully considering all aspects of your estate and updating your will as needed, you can provide peace of mind for yourself and your loved ones.