Blank Printable Simple Last Will And Testament Forms

Last Will And Testament Template Simple Fillable Legal Form US Blank Printable Simple Last Will And Testament Forms

Creating a last will and testament is an important step in ensuring your final wishes are carried out after your passing. A simple last will and testament form can help you outline how you want your assets to be distributed and who you want to handle your estate.

Blank printable forms make it easy for individuals to fill out the necessary information and create a legally binding document without the need for expensive legal assistance. These forms are typically straightforward and can be customized to fit your specific needs.

Blank Printable Simple Last Will And Testament Forms

Looking for an efficient way to manage paperwork? A form printable is a reliable tool for both personal and professional use. Whether you’re handling job applications, medical records, invoices, or permission slips, free printable form help save time with minimal effort.

A form printable allows you to complete important information manually or on a computer before printing. It’s excellent for workplaces, educational settings, and virtual setups where documentation needs to be clear, standardized, and ready to go.

Quickly Access and Print Blank Printable Simple Last Will And Testament Forms

You can easily find no-cost, editable templates online in formats like Jpg no technical experience or apps required. Just download, fill in, and use as many copies as needed.

Take control of your routine processes and avoid paperwork headaches. Choose a versatile form printable today and stay on track, productive, and in control—whether at your house or at the office.

Amazon Last Will And Testament Kit 2025 Simple Will Forms Amazon Last Will And Testament Kit 2025 Simple Will Forms

39 Last Will And Testament Forms U0026 Templates TemplateLab39 Last Will And Testament Forms U0026 Templates TemplateLab

Free Last Will And Testament Template Templates 2 PDF WordFree Last Will And Testament Template Templates 2 PDF Word

39 Last Will And Testament Forms U0026 Templates TemplateLab39 Last Will And Testament Forms U0026 Templates TemplateLab

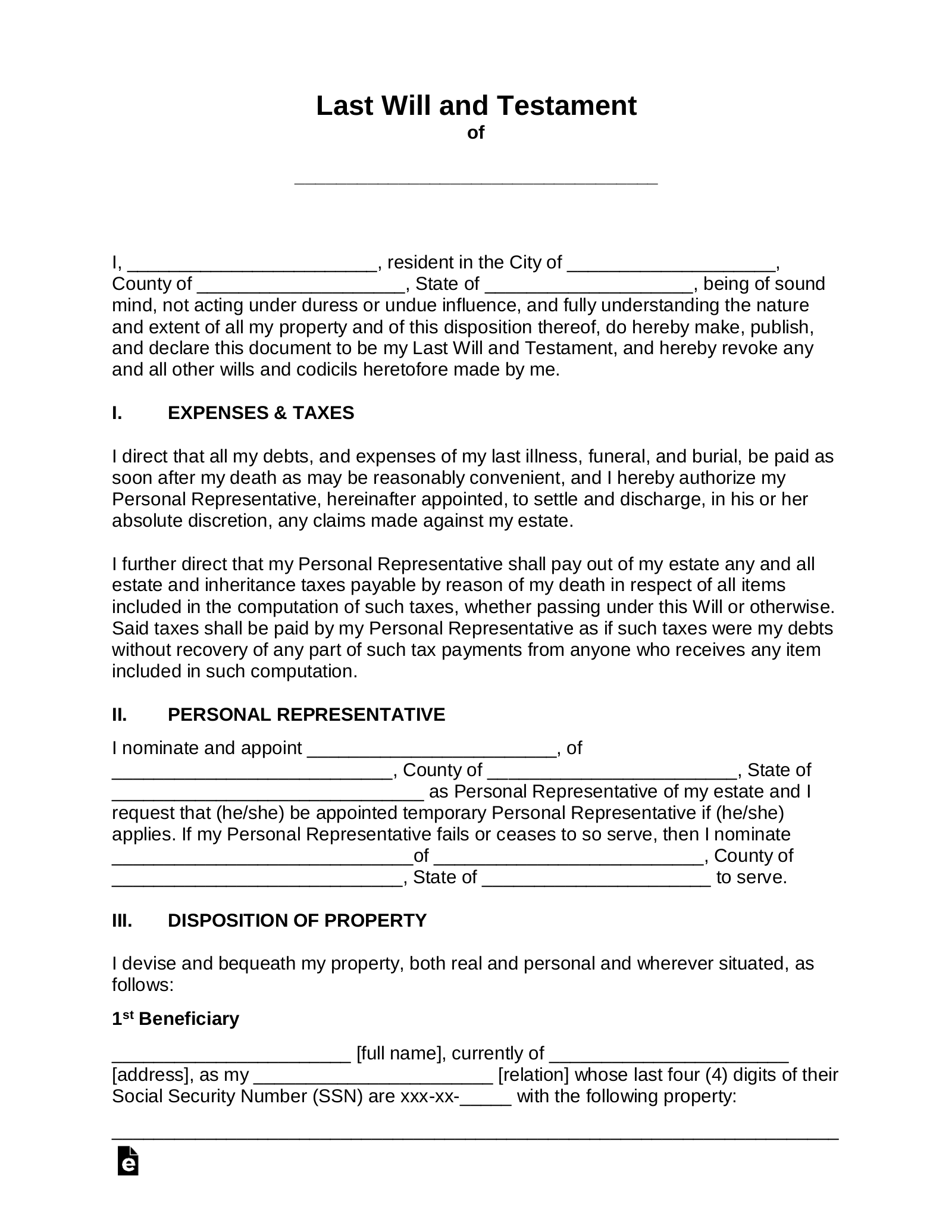
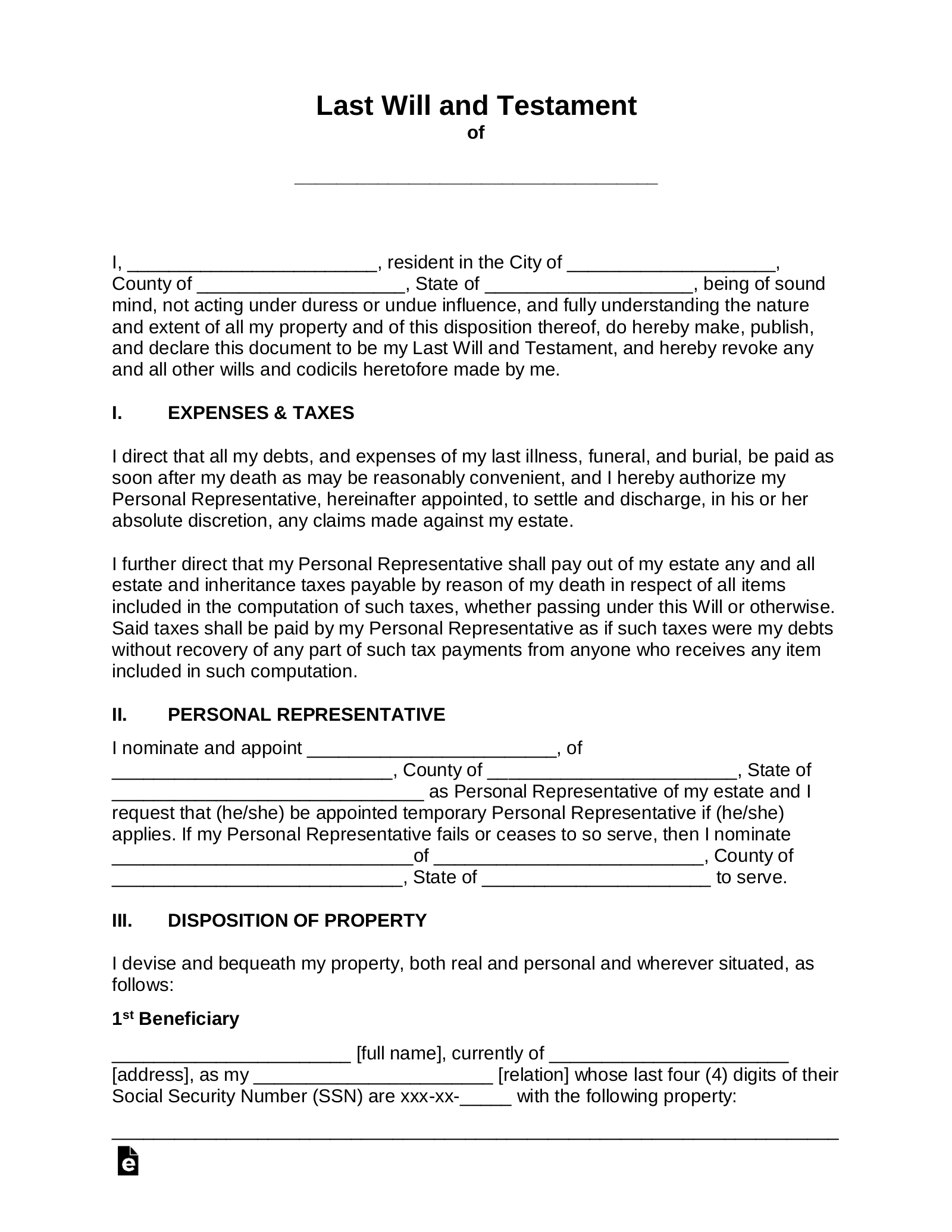
Free Last Will And Testament Will PDF Word EFormsFree Last Will And Testament Will PDF Word EForms

When using a blank printable simple last will and testament form, it is important to carefully consider who you want to name as your beneficiaries, executor, and guardian for any minor children. You should also outline how you want your assets to be distributed, including any specific bequests or instructions.

It is recommended to review your last will and testament periodically and update it as needed to reflect any changes in your circumstances or wishes. Additionally, it is important to store your completed form in a safe and accessible place, such as a secure file or safe deposit box.

By utilizing a blank printable simple last will and testament form, you can take control of your estate planning and ensure that your final wishes are carried out as you intended. These forms provide a cost-effective and efficient way to create a legally binding document that outlines your wishes for your assets and loved ones.

Overall, blank printable simple last will and testament forms are a valuable tool for individuals looking to create a clear and concise document outlining their final wishes. By taking the time to complete these forms, you can have peace of mind knowing that your estate will be handled according to your wishes after your passing.