Free Printable Forms For Last Will And Testament

39 Last Will And Testament Forms U0026 Templates TemplateLabFree Printable Forms For Last Will And Testament

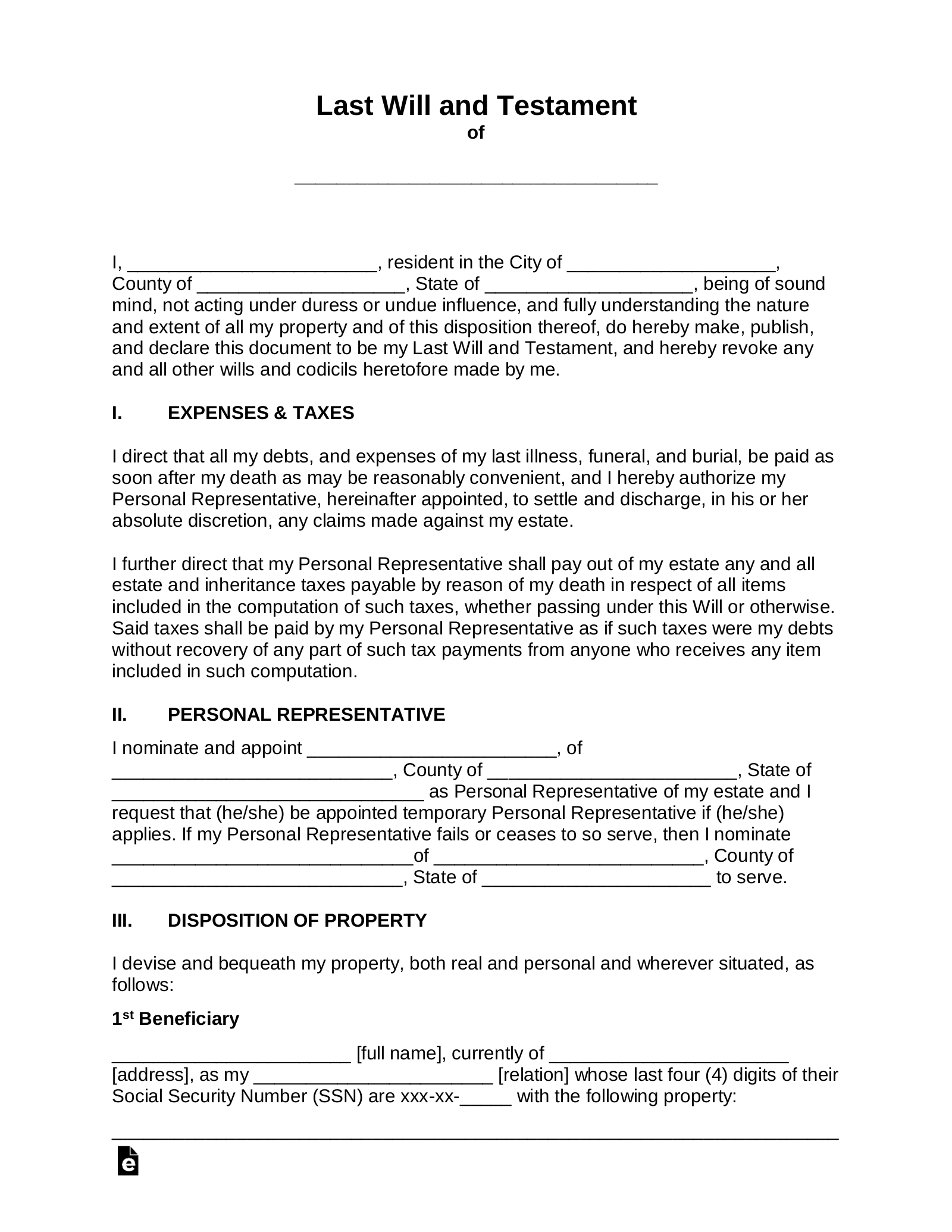
Creating a Last Will and Testament is an essential part of estate planning. It allows you to specify how you want your assets to be distributed after your passing, as well as who will be responsible for carrying out your wishes. While it is always recommended to seek the advice of a legal professional when creating a will, there are also free printable forms available that can help you get started.

These forms typically include sections for designating beneficiaries, naming an executor, outlining specific bequests, and more. They provide a basic framework that you can use to draft your own will, which can then be reviewed and finalized by an attorney.

Free Printable Forms For Last Will And Testament

Searching for an easy way to manage paperwork? A printable forms is a great option for both everyday and business use. Whether you’re handling employment forms, medical records, billing forms, or permission slips, form printable help simplify tasks with minimal effort.

A printable form allows you to fill out important information manually or digitally before printing. It’s ideal for workplaces, educational settings, and home offices where documentation needs to be organized, consistent, and ready to go.

Quickly Access and Print Free Printable Forms For Last Will And Testament

You can instantly find complimentary, editable templates online in formats like Adobe PDF no technical experience or software required. Just get, complete, and print as many copies as needed.

Begin streamlining your routine processes and avoid unnecessary delays. Choose a reliable printable form today and stay efficient, focused, and in charge—whether at home or at work.

Free Printable Last Will And Testament Templates PDF Word Free Printable Last Will And Testament Templates PDF Word

39 Last Will And Testament Forms U0026 Templates TemplateLab39 Last Will And Testament Forms U0026 Templates TemplateLab

39 Last Will And Testament Forms U0026 Templates TemplateLab39 Last Will And Testament Forms U0026 Templates TemplateLab

Free Last Will And Testament Template Templates 2 PDF WordFree Last Will And Testament Template Templates 2 PDF Word

Free Last Will And Testament Will PDF Word EFormsFree Last Will And Testament Will PDF Word EForms

When using free printable forms for your Last Will and Testament, it’s important to ensure that they comply with the laws of your state. Estate planning laws vary by jurisdiction, so you’ll want to make sure that your will is legally valid and enforceable.

Additionally, keep in mind that a will is a legal document that can have far-reaching implications. It’s essential to be thorough and precise when drafting your will to avoid any confusion or disputes among your loved ones after you’re gone.

While free printable forms can be a helpful starting point, it’s always a good idea to consult with a legal professional to ensure that your will accurately reflects your wishes and complies with all relevant laws.

In conclusion, free printable forms for Last Will and Testament can be a useful tool for getting started with estate planning. However, it’s crucial to seek the guidance of a legal expert to ensure that your will is legally sound and properly executed. By taking the time to create a comprehensive and well-thought-out will, you can provide peace of mind for yourself and your loved ones in the future.