Printable Nc Last Will And Testament Form Pdf

NC Last Will And Testament Template In Word PDF Google Docs Download TemplatePrintable Nc Last Will And Testament Form Pdf

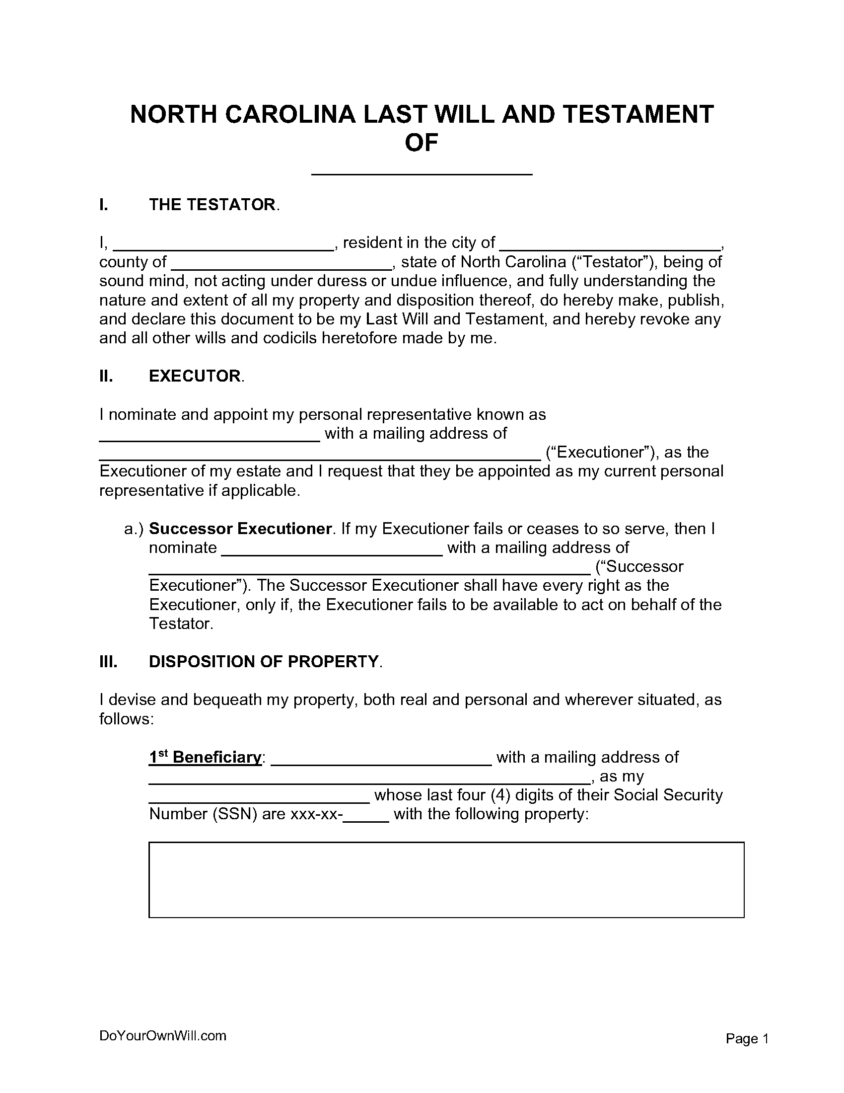
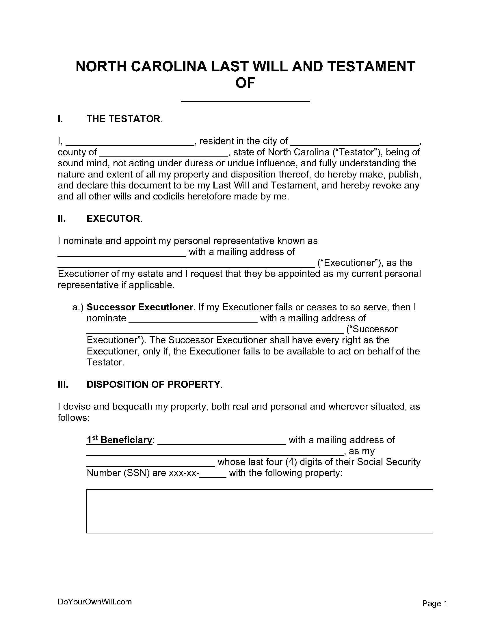
Creating a last will and testament is an important step in estate planning to ensure that your wishes are carried out after your passing. In North Carolina, having a legally binding will can help prevent family disputes and ensure that your assets are distributed according to your desires.

One option for creating a will in North Carolina is to use a printable NC last will and testament form in PDF format. This form provides a template for you to fill in your personal information, designate beneficiaries, and outline how you want your assets to be distributed. It is a convenient and cost-effective way to get started on your estate planning.

Printable Nc Last Will And Testament Form Pdf

Need an easy way to manage paperwork? A printable forms is a great option for both everyday and professional use. Whether you’re handling job applications, medical records, invoices, or consent forms, printable form help simplify tasks with minimal effort.

A printable form allows you to fill out important information manually or digitally before printing. It’s perfect for workplaces, schools, and home offices where documentation needs to be clear, consistent, and immediately usable.

Save and Print Printable Nc Last Will And Testament Form Pdf

You can instantly find no-cost, customizable templates online in formats like Jpg no technical experience or apps required. Just get, fill in, and use as many copies as needed.

Begin streamlining your daily tasks and avoid wasted time. Choose a reliable form printable today and stay organized, productive, and in control—whether at your house or at the office.

North Carolina Last Will And Testament Template Free SampleNorth Carolina Last Will And Testament Template Free Sample

North Carolina Will Forms Last Will And Testament Living Will Archives Will Forms Will FormsNorth Carolina Will Forms Last Will And Testament Living Will Archives Will Forms Will Forms

North Carolina Last Will And Testament Templates Free Word PDF ODT North Carolina Last Will And Testament Templates Free Word PDF ODT

Free North Carolina Last Will And Testament Template PDF WordFree North Carolina Last Will And Testament Template PDF Word

Free North Carolina Last Will And Testament Form PDF WORD ODTFree North Carolina Last Will And Testament Form PDF WORD ODT

Printable Nc Last Will And Testament Form Pdf

When using a printable NC last will and testament form in PDF, it is important to carefully review and fill out the document to ensure that it accurately reflects your wishes. You may want to consult with an attorney to make sure that the form meets all legal requirements in North Carolina and that your will is enforceable.

Include details such as naming an executor to carry out your wishes, specifying guardianship for minor children, and outlining any specific bequests or conditions for beneficiaries. It is also important to sign and date the document in the presence of witnesses to make it legally valid.

After completing the printable NC last will and testament form in PDF, make sure to keep it in a safe and easily accessible place. You may want to consider storing it in a secure location such as a safe deposit box or with your attorney. It is also a good idea to review and update your will periodically to reflect any changes in your circumstances or wishes.

In conclusion, using a printable NC last will and testament form in PDF is a simple and efficient way to begin the estate planning process in North Carolina. By taking the time to create a legally binding will, you can provide peace of mind for yourself and your loved ones knowing that your wishes will be carried out after your passing.