Georgia Printable Last Will And Testament Form

Last Will And Testament Georgia Free Templates Georgia Printable Last Will And Testament Form

Creating a last will and testament is an important part of estate planning. In Georgia, having a valid will ensures that your final wishes are carried out and your assets are distributed according to your desires. A printable last will and testament form can help you easily outline your wishes and ensure that your loved ones are taken care of after you pass away.

By using a printable last will and testament form in Georgia, you can specify who will inherit your property, choose an executor to handle your estate, and designate guardians for any minor children you may have. This legal document allows you to make important decisions about your assets and ensure that they are distributed according to your wishes.

Georgia Printable Last Will And Testament Form

Looking for an practical way to organize forms? A Georgia Printable Last Will And Testament Form is a smart solution for both personal and business use. Whether you’re handling job applications, health documents, invoices, or permission slips, printable form help save time with minimal effort.

A Georgia Printable Last Will And Testament Form allows you to complete important information manually or on a computer before printing. It’s excellent for workplaces, schools, and remote work where documentation needs to be clear, standardized, and immediately usable.

Easily Download and Print Georgia Printable Last Will And Testament Form

You can quickly find free, customizable templates online in formats like PDF no design skills or software required. Just get, complete, and use as many copies as needed.

Begin streamlining your routine processes and avoid paperwork headaches. Choose a professional printable form today and stay organized, focused, and in control—whether at home or at work.

Free Georgia Last Will And Testament Form CocoSignFree Georgia Last Will And Testament Form CocoSign

Last Will And Testament Georgia Free Templates Last Will And Testament Georgia Free Templates

Georgia Last Will And Testament Templates Free Word PDF ODT Georgia Last Will And Testament Templates Free Word PDF ODT

Free Georgia Last Will And Testament Form CocoSignFree Georgia Last Will And Testament Form CocoSign

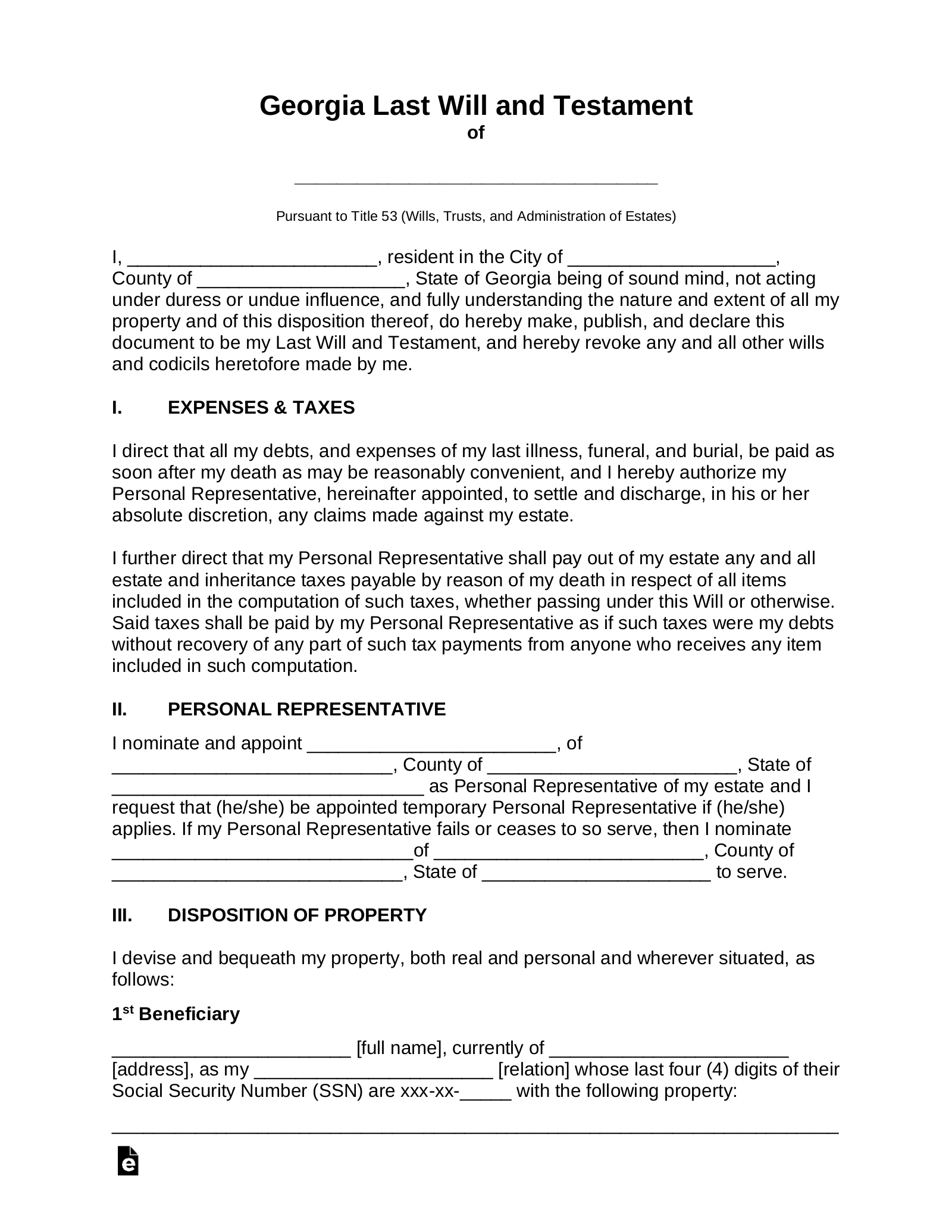
Free Georgia Last Will And Testament Template PDF Word EFormsFree Georgia Last Will And Testament Template PDF Word EForms

When creating your last will and testament in Georgia, it is important to follow the state’s specific laws and guidelines to ensure its validity. Using a printable form can help simplify the process and ensure that you have all the necessary information included in your will. It is important to review and update your will regularly to reflect any changes in your life circumstances or assets.

Having a valid last will and testament in Georgia can provide peace of mind knowing that your loved ones will be taken care of and your final wishes will be honored. By using a printable form, you can easily create a legally binding document that outlines your wishes and ensures that your estate is handled according to your instructions.

Overall, utilizing a Georgia printable last will and testament form can help you navigate the estate planning process and ensure that your assets are distributed according to your wishes. By taking the time to create a comprehensive will, you can provide clarity and peace of mind for your loved ones after you pass away.

Don’t wait until it’s too late – start planning for the future by creating a last will and testament using a printable form in Georgia today.