Last Will And Testament Forms Printable

39 Last Will And Testament Forms U0026 Templates TemplateLabLast Will And Testament Forms Printable

Creating a last will and testament is an essential part of estate planning. It allows you to outline how you want your assets to be distributed after your passing and ensures that your loved ones are taken care of. While consulting with a lawyer is always recommended, there are also printable forms available that can help you get started on creating your will.

These forms are designed to be easy to understand and fill out, making the process of creating a will more accessible to everyone. Whether you have a large estate or just a few assets to distribute, having a will in place ensures that your wishes are carried out and helps to prevent any potential disputes among family members.

Last Will And Testament Forms Printable

Searching for an efficient way to organize forms? A Last Will And Testament Forms Printable is a smart solution for both personal and business use. Whether you’re handling employment forms, medical records, invoices, or permission slips, printable forms help simplify tasks with ease.

A free printable form allows you to enter important information by hand or on a computer before printing. It’s excellent for offices, schools, and remote work where documentation needs to be organized, consistent, and immediately usable.

Save and Print Last Will And Testament Forms Printable

You can instantly find free, customizable templates online in formats like Jpg no technical experience or apps required. Just get, complete, and print as many copies as needed.

Start simplifying your routine processes and avoid wasted time. Choose a versatile printable form today and stay on track, focused, and in charge—whether at your house or at work.

Last Will And Testament Last Will And Testament Printable Simple Last Will Fillable Last Will And Testament Template Last Will TestamentLast Will And Testament Last Will And Testament Printable Simple Last Will Fillable Last Will And Testament Template Last Will Testament

39 Last Will And Testament Forms U0026 Templates TemplateLab39 Last Will And Testament Forms U0026 Templates TemplateLab

39 Last Will And Testament Forms U0026 Templates TemplateLab39 Last Will And Testament Forms U0026 Templates TemplateLab

Free Last Will And Testament Template Templates 2 PDF WordFree Last Will And Testament Template Templates 2 PDF Word

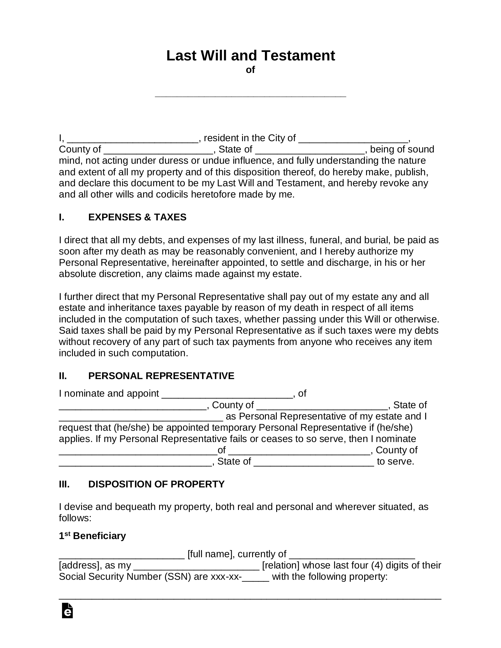
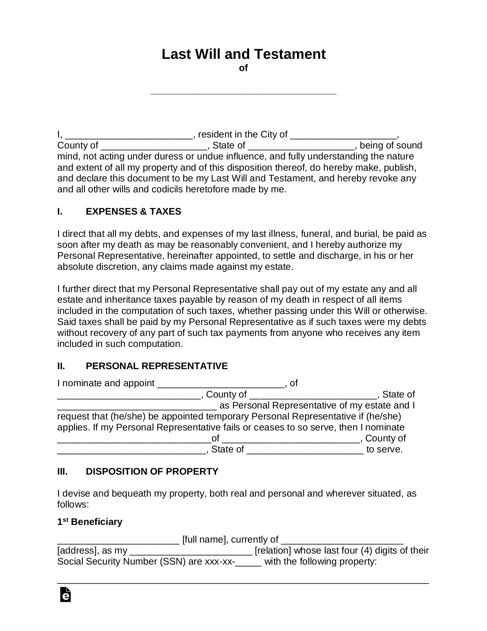
Free Last Will And Testament Will PDF Word EFormsFree Last Will And Testament Will PDF Word EForms

Last Will And Testament Forms Printable

When using printable forms to create your last will and testament, it is essential to ensure that the document complies with the laws of your state. Each state has its own requirements for wills, so it is important to double-check that the form you are using is valid in your jurisdiction. Additionally, it is crucial to follow the instructions carefully and fill out all the necessary information accurately to avoid any complications in the future.

One benefit of using printable forms is that they are often free or available at a low cost, making them a cost-effective option for those who may not have the resources to hire a lawyer. However, it is still recommended to seek legal advice if you have a complex estate or if you have any concerns about the validity of the form you are using.

Overall, using last will and testament forms printable can be a convenient and efficient way to create a will that reflects your wishes and ensures that your loved ones are taken care of. By taking the time to plan for the future, you can have peace of mind knowing that your assets will be distributed according to your wishes.

So, if you have been putting off creating a will, consider using printable forms as a starting point to get your affairs in order. It is never too early to plan for the future, and having a will in place is a crucial step in ensuring that your loved ones are provided for after you are gone.